Существующие сейчас рассуждающие ИИ
Какие же на данный момент существуют рассуждающие ИИ?
А вот они (расположены в случайном порядке, не на какие даты или их возможности я не опирался):
OpenAI O1
DeepSeek-R1-lite-preview
Marco-O1
QwQ-32B-Preview
KPU AI
А теперь по подробнее о каждом:
OpenAI O1 (https://openai.com/o1/): самая мощная на данный момент модель. Её главные минусы — цена (так как для безлимитного общения требуется подписка PRO за 200 долларов) и доступность из-за нашего местоположения в России.
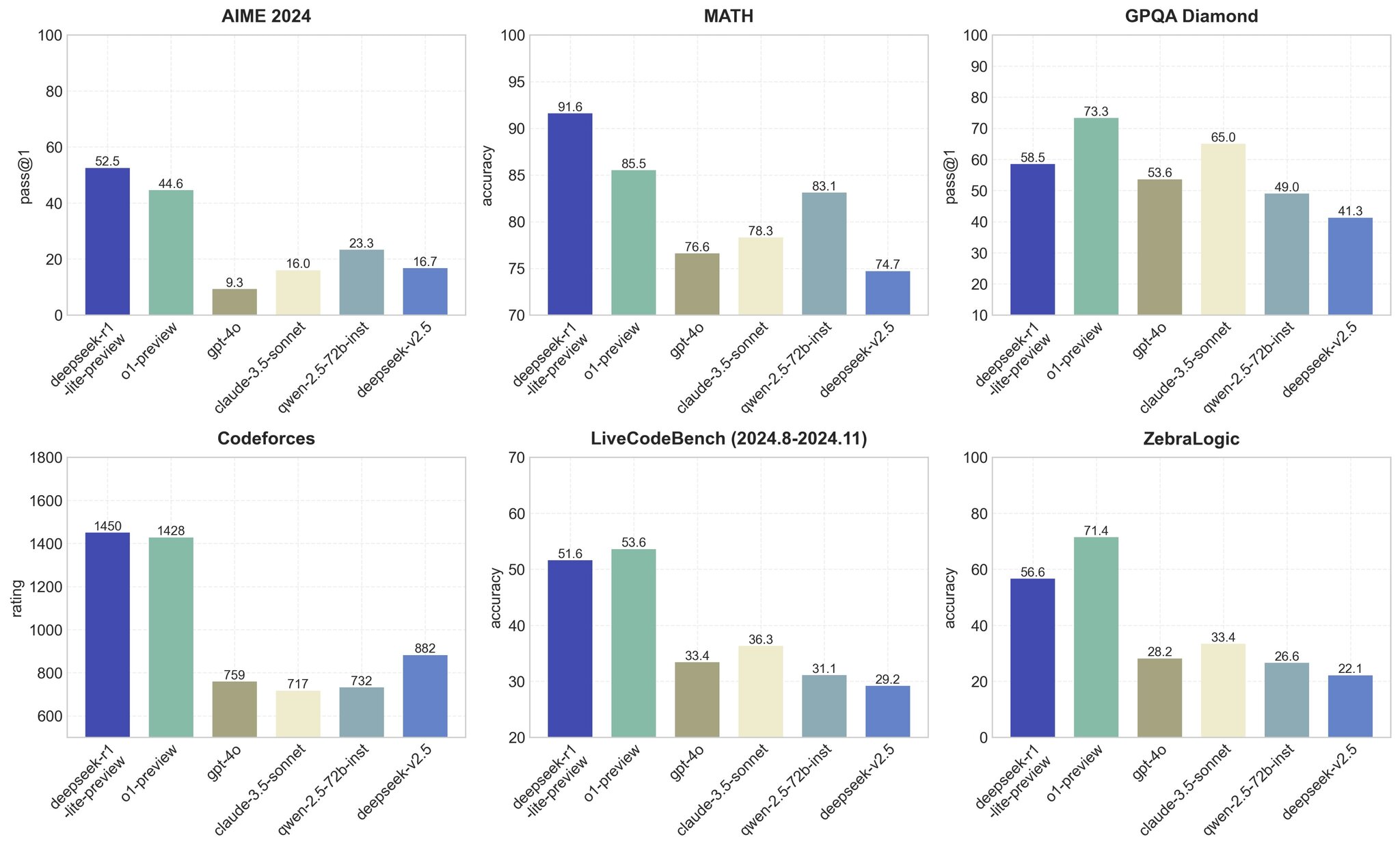
Deepseek R1 Lite Preview (https://api-docs.deepseek.com/news/news1120): Уже менее мощная модель, но более доступная, так как бесплатная. Пока ей можно пользоваться только через сайт от Deepseek: chat deepseek. Однако вскоре ожидается выход этой модели для свободного скачивания. Вот график её способностей:
Marco-o1 (https://huggingface.co/AIDC-AI/Marco-o1): Эту модель уже можно свободно скачать на свой ПК и запустить, используя LM Studio. Какого-то прорыва эта модель не сделала, но это даже логично, учитывая, что у неё всего 7 миллиардов параметров. Здесь интереснее то, что к этой модели приложен очень подробный отчёт о том, как создавали эту модель, а также набор обучающих данных. Модель основана на Qwen2-7B-Instruct.
QwQ-32B-Preview (https://huggingface.co/spaces/Qwen/QwQ-32B-preview): Это самая интересная модель. Её также можно скачать на свой ПК и запустить, но в отличие от Marco-o1, это модель очень умная для своего размера. Она построена на базе семейства больших языковых моделей Qwen от Alibaba и содержит 32,5 миллиарда параметров, что позволяет ей обрабатывать запросы до 32 тысяч токенов. Одной из ключевых особенностей QwQ-32B-Preview является её способность решать сложные логические и математические задачи. Модель показала превосходные результаты в тестах AIME и MATH, существенно опередив аналогичные модели от OpenAI, такие как o1-preview и o1-mini. Вот графики её способностей:
KPU AI (https://kpu.maisa.ai/play): Это онлайн-модель. После регистрации ограничений на количество запросов нет. Самым главным плюсом этой модели является то, что благодаря разработанной новой системе, а именно с помощью блока обработки знаний (Knowledge Processing Unit (KPU)), удалось избавиться от галлюцинаций или неактуальности информации. На мой взгляд, это единственная модель ИИ, способная писать идеальные и сложные системные промты для текстовых нейросетей с первого раза. Используйте для создания системных промтов: «Напиши мне системный промпт для текстовой нейросети, чтобы она...»



