Квантовый поиск Гровера в 6G-сетях: перспективы обнаружения сигналов
Автор: Денис Аветисян
Исследование объединяет квантовые алгоритмы и классическую обработку сигналов для повышения эффективности беспроводной связи с использованием реконфигурируемых интеллектуальных поверхностей.
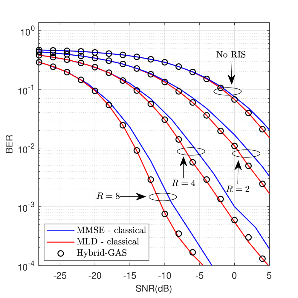
При использовании детекторов MMSE, MLD и Hybrid-GAS с отражающими поверхностями (RIS) и при различных конфигурациях RIS (R∈{2,4,8}), наблюдается улучшение характеристик BER в зависимости от SNR.
В статье предлагается гибридный квантово-классический детектор, использующий алгоритм поиска Гровера и QUBO-формулировку для улучшения производительности в системах SC-FDE с поддержкой RIS.
Широкополосные сети связи шестого поколения (6G) требуют высокопроизводительных детекторов, реализация которых сталкивается с экспоненциальной сложностью. В данной работе, посвященной 'Hybrid Quantum-Classical Detection for RIS-Assisted SC-FDE via Grover Adaptive Search', предложен гибридный квантово-классический алгоритм детектирования для систем SC-FDE с использованием реконфигурируемых интеллектуальных поверхностей (RIS). Алгоритм, основанный на адаптивном поиске Гровера и формулировке задачи в виде QUBO, демонстрирует производительность, близкую к оптимальной, и потенциальную устойчивость к шумам. Возможно ли дальнейшее повышение эффективности и масштабируемости квантово-усиленного детектирования для будущих беспроводных сетей?
Пределы Возможностей: Задачи для 6G
Появление новых приложений, таких как хирургия на расстоянии и автономные транспортные средства, предъявляет беспрецедентные требования к беспроводной связи. Современная инфраструктура испытывает трудности в удовлетворении этих потребностей из-за ограниченного спектра и ухудшения сигнала. Беспроводные сети 6G предлагают интеллектуальные и адаптивные системы для преодоления этих препятствий, используя инновационные технологии для обеспечения эффективной и надежной связи в условиях растущей нагрузки.
Смягчение Интерференции: Принцип SC-FDE
Широкополосные частотно-селективные каналы являются источником межсимвольной интерференции, ограничивающей скорости передачи данных. SC-FDE эффективно компенсирует искажения, вызванные частотно-селективным затуханием канала, преобразуя сигнал во частотную область, эквализируя частоты и восстанавливая исходный сигнал с минимальной интерференцией.
В системе SC-FDE восходящей связи SISO с поддержкой RIS, при отсутствии прямой связи между UE и BS, BS осуществляет управление RIS посредством выделенного контроллера.
Интеллектуальная Среда: Потенциал RIS
Повторно конфигурируемые интеллектуальные поверхности (RIS) обеспечивают динамический контроль над распространением сигнала, усиливая его и повышая устойчивость канала. В данной работе представлен гибридный квантово-классический детектор для систем SC-FDE с поддержкой RIS, достигающий производительности, сопоставимой с детектированием максимального правдоподобия (MLD), с квадратичным ускорением благодаря поиску Гровера. Система характеризуется быстрой сходимостью, требуя всего 5-18 итераций, что демонстрирует эффективность предложенного подхода. Анализ вычислительной сложности показывает, как количество логических вентилей масштабируется в зависимости от длины блока, длины памяти канала и количества кубитов.
В представленной работе акцент на гибридном квантово-классическом подходе к обнаружению сигналов в системах связи с использованием RIS, вызывает ассоциации с фундаментальными принципами проектирования алгоритмов. Как однажды заметил Винтон Серф: «Интернет — это не только технология, но и способ мышления». Эта фраза отражает суть предложенного решения, ведь оно представляет собой не просто комбинацию классических и квантовых методов, а принципиально новый способ обработки информации. Использование алгоритма Гровера в сочетании с QUBO-формулировкой для повышения производительности детектирования в частотно-селективных каналах демонстрирует стремление к математической чистоте и доказуемости, где каждое решение либо корректно, либо ошибочно. В этом контексте, кажущаяся магией эффективность алгоритма лишь подтверждает, что инвариант, обеспечивающий надежное обнаружение сигнала, был успешно раскрыт.
Что впереди?
Представленная работа, хотя и демонстрирует потенциал гибридных квантово-классических алгоритмов в контексте систем связи с использованием RIS и SC-FDE, лишь открывает путь к более глубокому исследованию. Доказательство корректности предложенного детектора, особенно в условиях реального шума, остается ключевой задачей. Пределы применимости предложенной QUBO-формулировки и ее масштабируемость для систем с большим количеством RIS-элементов требуют тщательного анализа. Нельзя полагаться на эмпирические результаты; требуется строгое математическое обоснование.
Будущие исследования должны быть направлены на преодоление ограничений, связанных с квантово-классическим интерфейсом. Разработка более устойчивых к ошибкам квантовых алгоритмов, а также эффективных методов квантовой коррекции ошибок, представляется необходимой. Альтернативные подходы к квантово-классическому взаимодействию, минимизирующие потери информации, также заслуживают внимания. Утверждения о "почти оптимальной" производительности нуждаются в строгой верификации с использованием независимых, теоретически обоснованных критериев.
В конечном итоге, истинная ценность данной работы заключается не столько в достигнутых результатах, сколько в постановке фундаментальных вопросов о границах применимости квантовых алгоритмов в практических системах связи. Иллюзии о мгновенном достижении квантового превосходства должны быть отброшены. Требуется методичная работа, направленная на создание действительно надежных и доказуемо корректных квантово-классических решений.
Оригинал статьи: https://arxiv.org/pdf/2511.04173.pdf
Связаться с автором: https://www.linkedin.com/in/avetisyan/


Наука | Научпоп
9.3K постов82.7K подписчиков
Правила сообщества
Основные условия публикации
- Посты должны иметь отношение к науке, актуальным открытиям или жизни научного сообщества и содержать ссылки на авторитетный источник.
- Посты должны по возможности избегать кликбейта и броских фраз, вводящих в заблуждение.
- Научные статьи должны сопровождаться описанием исследования, доступным на популярном уровне. Слишком профессиональный материал может быть отклонён.
- Видеоматериалы должны иметь описание.
- Названия должны отражать суть исследования.
- Если пост содержит материал, оригинал которого написан или снят на иностранном языке, русская версия должна содержать все основные положения.
- Посты-ответы также должны самостоятельно (без привязки к оригинальному посту) удовлетворять всем вышеперечисленным условиям.
Не принимаются к публикации
- Точные или урезанные копии журнальных и газетных статей. Посты о последних достижениях науки должны содержать ваш разъясняющий комментарий или представлять обзоры нескольких статей.
- Юмористические посты, представляющие также точные и урезанные копии из популярных источников, цитаты сборников. Научный юмор приветствуется, но должен публиковаться большими порциями, а не набивать рейтинг единичными цитатами огромного сборника.
- Посты с вопросами околонаучного, но базового уровня, просьбы о помощи в решении задач и проведении исследований отправляются в общую ленту. По возможности модерация сообщества даст свой ответ.
Наказывается баном
- Оскорбления, выраженные лично пользователю или категории пользователей.
- Попытки использовать сообщество для рекламы.
- Фальсификация фактов.
- Многократные попытки публикации материалов, не удовлетворяющих правилам.
- Троллинг, флейм.
- Нарушение правил сайта в целом.
Окончательное решение по соответствию поста или комментария правилам принимается модерацией сообщества. Просьбы о разбане и жалобы на модерацию принимает администратор сообщества. Жалобы на администратора принимает и общество Пикабу.