Самозанятый врач в Швейцарии: что, как и зачем. Часть 1
Всем привет!
Сегодня начну мини-серию из двух постов (изначально планировался один пост, но он получился ооочень длинным, поэтому разделил на 2), которую решил посвятить самозанятости в медицине, а точнее самозанятым врачам в Швейцарии. Понимаю, что информация несколько специфическая и не всякому зайдёт, но, думаю, что всё-таки кому-то этот текст может быть полезен, ну и для общего кругозора тоже вполне себе будет интересно узнать как у них там это устроено.
Я заранее прошу прощения, если вы увидите в тексте какие-либо неточности в формулировках / определениях, так как я не финансист и не специалист по налоговому и прочему праву (ни в России не был, ни в Швейцарии). Я обычный обыватель, и поэтому не разбираюсь в специфике темы поста в настолько полном объёме, чтобы соответствовать высокому проф.уровню. Просто поймите и простите. Ну и поправьте / дополните, если есть чем.
В первой части я опишу общие моменты того, как это тут устроено, а точнее что необходимо для того, чтобы начать самостоятельно работать врачом, а также поделюсь своим личным опытом прохождения всех этапов этого квеста. Во второй части расскажу про причины, сподвигшие меня уйти в самозанятость, свой опыт работы "на себя", моей и первых итогов такого рода деятельности.
Для ЛЛ: процесс долгий, необходимо запастись терпением. Много бюрократии. Основные шаги: получение кантональной аккредитации на самостоятельную врачебную деятельность, получение аккредитации для работы со страховыми компаниями, подписание тарифных договором со страховыми компаниями, заявление на внесение данных в реестр самозанятых с присвоением расчётного номера (для страховых, указывается в счёте за мед.услуги). По затратам: 1 680 + 700 франков = 2 380 франков (1 франк = грубо 100 рублей). По времени весь процесс получения всего и вся растянулся на почти 1 год.
Для тех, кто меня читает впервые: 41 год, живу и работаю врачом-рентгенологом (с июня 2023 года как самозанятый врач) в Швейцарии с августа 2019 года. До этого жил и работал по профессии 8 лет на северо-западе Германии. Женат, 2 детей.
Основные понятия
Думаю, что само определение самозанятости особо расшифровывать не нужно. Вот как самозанятых определяет Государственный секретариат по экономическим вопросам Швейцарии - Seco:
С точки зрения социального страхования, самозанятыми считаются лица, работающие от своего имени и за свой счет, самостоятельные в своей деятельности и самостоятельно несущие экономический риск. Самозанятые лица имеют фирму (индивидуальное предпринимательство) с собственной инфраструктурой, выставляют счета от своего имени, несут риск их получения и платят НДС. Они сами принимают решения об организации, методах работы и передаче работы третьим лицам.
На той же странице (ещё раз, там кстати есть переводы на французский, итальянский и английский) написано, что по определённым профессиям для того, чтобы работать самостоятельно, необходима кантональная аккредитация (или кантональное разрешение на самостоятельную работу в своей сфере).
Касаемо иностранцев: самостоятельная деятельность на территории Швейцарии разрешена постоянно проживающим на территории страны гражданам ЕС и ЕАСТ, за исключением граждан Хорватии (не спрашивайте почему, за что купил, за то и продаю). Также написано, что самозанятым может стать и т.н. Grenzgänger - трансграничные работники, т.е. те, кто работают в Швейцарии, но живут в другой (соседней) ЕС или ЕАСТ (Европейская ассоциация свободной торговли) и, по крайней мере, 1 раз в неделю возвращаются к себе домой, но они должны получить особое разрешение от кантона, где планируют вести свои дела.
Регистрация как самозанятый обязательна для всех с доходом от самостоятельной деятельности выше 2 300 франков в год. При обороте свыше 100 000 франков в год самозанятый становится обязательным плательщиком НДС.
Но как это выглядит для врачей?
Все довольно и просто, и сложно.
Теоретически, любой врач, который является гражданином Швейцарии, одной из стран ЕС или ЕАСТ, может заниматься в Швейцарии частной медицинской практикой. Причём врачи освобождены от необходимости указания не менее 3 клиентов с которыми работают (требование для регистрации в качестве индивидуального предпринимателя или фирмы), а также они освобождены от обязанности плательщика НДС (т.к. мед.услуги им не облагаются). Регистрация юр.лица или даже ИП, в принципе, не обязательна. Врач, в некоторых случаях (об этом ниже), может выступать и как простое физ.лицо без необходимости оформления ИП и т.п.
Что необходимо врачу для самостоятельной деятельности в Швейцарии
- кантональная аккредитация (Kantonale Berufsausuebungsbewilligung)
И по большому счёту это всё. Да, понятно, что надо организовать ИП или даже свою фирму, зарегистрироваться в компенсационном фонде и зарегистрироваться в торговом реестре. Но самое главное - это та самая аккредитация, и, в принципе, уже можно открыть свой кабинет. Правда с одним ограничением: работать можно будет только с пациентами, которые платят за себя сами. Работа с т.н. "кассовыми" пациентами или, если по другому, со страховыми компаниями будет невозможна.
Получить эту аккредитацию - проще пареной репы. Для этого необходимо:
иметь подтверждённый (или швейцарский) мед.диплом
иметь подтверждённый (или швейцарский) сертификат специалиста
говорить на оф.языке кантона
быть внесённым в электронный швейцарский реестр мед.работников
предоставить справку об отсутствии судимостей из стран, где проживал за последние 5 лет
И, на самом деле, для тех, кто в Швейцарии уже работал или работает, это - абсолютно не проблема, т.к. для работы в Швейцарии мне так и так необходимо было подтверждать свой диплом и сертификат специалиста, а также владение языком на необходимом уровне (писал пост про это в самом начале публикация здесь на пикабу).
Справку об отсутствии данных о судимостях (Strafregisterauszug) предоставлял как швейцарскую, так и немецкую. Причём швейцарская выписка из реестра заказывается онлайн на спец.сайте, может быть получена как в бумажном виде, так и в виде файла формата pdf и стоит она 17 франков (1 франк равен, грубо, 100 рублям) и весь процесс занял неделю.
Немцы были в своём репертуаре: необходимо было заполнить заявление, которое, с нотариально заверенной подписью и копией удостоверения личности, отправить по почте, предварительно оплатив 13 евро и приложив в конверт с письмом подтверждение оплаты, в Германии в министерство внутренних дел. Ответа от них ждал 2 месяца.
В общем и целом весь процесс получения аккредитации, включая ожидание справки из Германии, занял у меня 2,5 месяца. Само ожидание ответа от кантона, после предоставления всех документов, заняло порядка 2 недель. Стоило удовольствие 700 франков.
Выглядит эта аккредитация так: кантон Берн, согласно таким-то таким-то законам / актам тра-ла-ла аккредитован к работе в кантоне Берн в качестве врача-рентгенолога (или, как тут говорят, радиолога):
Если же врач хочет принимать вообще всех пациентов, как в частном порядке, так и по ОМС и прочим страховкам (от несчастных случаев, военные, инвалиды), то тут становится несколько сложнее и ему необходимо уже следующее:
разрешение на работу со страховыми компаниями
подписанные тарифные договоры, которых 3: 1) кантональный; 2) ОМС; 3) страхование несчастных случаев, военная страховка и страховка по инвалидности
внесение данных в реестр врачей, работающих со страховыми, с присвоением персонального номера (который будет указываться в счёте страховым за оказанные услуги)
И вот именно здесь начинается квест.
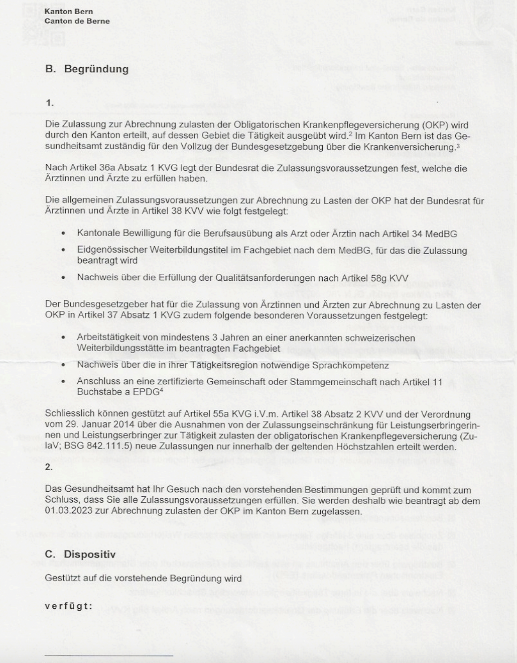
- Разрешение на работу со страховыми компаниями (OKP-Zulassung, где OKP - Obligatorische Krankenpflegeversicherung или ОМС по-нашему)
Небольшая предыстория: несколько лет назад Швейцария решила урегулировать количество частнопрактикующих врачей (а то что-то много их развелось, деньги видишь тут зарабатывают) и приняла закон, по которому кантоны обязали просчитывать и указывать необходимое количество частнопрактикующих врачей, необходимых в амбулаторном приёме, по специальностям, допустим всего нужно 10 рентгенологов, 10 ортопедов и т.п. и т.д., определять каждый год, сколько врачей не хватает, и в зависимости от этого, решать сколько врачей-соискателей (в порядке живой очереди, т.е. сроков подачи заявлений) может получить это разрешение в конкретный год. И те, кто не получил это разрешение, будут ждать следующего года и надеяться на то, что места появятся и их, в порядке очереди, также допустят до амбулаторной работы. Короче, закон этот вызвал бурю в медицинском сообществе и все заговорили об скором прекращении аккредитации врачей под самостоятельную работу, что в свою очередь вызвало ажиотаж и перегруз ведомств, ответственных за выдачу аккредитаций, заявлениями от тех, кто захотел успеть попасть в уходящий поезд.
В теории, конечно, выглядело всё очень и очень плохо. Но теория на то и теория, так как на практике механизмы расчёта необходимого количества врачей были ещё не до конца разработаны, закон в полную силу не вступил, кантонам в очередной раз продлили сроки разработки методики расчёта сначала до 1 июля 2023 года, потом до 1 января 2024 года, а посему работают кантоны (или многие из них) и сейчас по промежуточному сценарию: дают разрешение на работу со страховыми только тем, кто уже отработал в Швейцарии не менее 3 лет по специальности на полную ставку в одном из аккредитованных для обучения ординаторов учреждении.
Мне в этом плане повезло: больница, где я начинал работу в Швейцарии, была в списке аккредитованных, и отработал я там как-раз 3 года на момент подачи моего заявления в ноябре 2022 года. В качестве подтверждения необходимых 3-х лет работы я предоставил справку из отдела кадров, которой было достаточно. Затем онлайн заполнил специальный формуляр, где помимо персональных данных, также просили указать процессы по контролю качества работы и прочую лабуду (была полная импровизация с моей стороны, что-то типа сочинения на свободную тему с использованием материалов из нашего руководства по обучению ординаторов). Приложив кантональную аккредитацию, ещё раз подтверждения моего диплома и специализации с доказательствами владения языком на необходимом уровне (тут помог долголетний опыт работы в Германии на немецком + тот факт, что ординатуру по рентгенологии я тоже закончил в Германии на немецком), отправил это дело также онлайн и через 2 месяца получил необходимое разрешение, которое представляет из себя просто несколько листов формата А4 (см.приложение), с указанием моих персоналий и факта того, что мне можно работать с ОМС согласно разным законам и актам. За это разрешение я ничего не платил.
Дело оставалось за малым: подписание тарифных договоров и подготовка документов для внесения меня в реестр врачей, работающих со страховыми компаниями.
- Тарифные договоры
Тут всё опять же и просто, и не очень. С одной стороны, имея на руках кантональную аккредитацию и аккредитацию для работы со страховыми, путь на подписание договоров открыт, т.к. больше там ничего не требуется.
А вот с другой стороны один из трёх необходимых договоров подписывался при посредничестве местной врачебной ассоциации (FMH), которая настоятельно требует вступить в неё (конечно, ведь там членские взносы по 800 франков в год), мол "без членства будет тебе член, а не подписанный договор". Фишка в том, что вступив в эту ассоциацию, ты обязуешься вступить ещё и в кантональный врачебный профсоюз, а также в местный региональный профсоюз, где также платишь членские взносы, которых в общей сложности набегает под 3 тысячи франков в год. Два оставшихся договора (страхование несчастных случаев, военная страховка и страховка по инвалидности + кантональный тарифный договор) подписывались через кантональный врачебный профсоюз, который тоже крайне желал видеть меня в своих рядах.
Я почесал репу и подумал: "А оно мне надо вступать туда?". И оказалось, что это всё совсем не обязательно, и в ассоциации врачей, и в кантональном профсоюзе предусмотрены процедуры подписания договоров для соискателей без "так необходимого" членства. "Ну а что не вступил? Жалко что-ли?" - спросите вы. Ну, во-первых я не большой друг всякий обществ, ассоциаций, профсоюзов, так как не вижу в них для себя особого смысла: они особо ничего не предлагают из ряда вон выходящего. Во-вторых, будучи членом этих организаций, с одной стороны, ты не платишь как бы абонентскую плату за работу по страховым тарифам (такая есть, присылают раз в год счёт по каждому из договоров, стоит в общем и целом 640 франков в год), но сумма членских взносов превышает эту абонентскую плату аж на целых 2 тысячи франков в год, так что тоже не аргумент для меня.
На выяснение всего вышесказанного потребовалось определённое время, так как я с чиновниками стараюсь вести именно переписку (которая в данном случае несколько затянулась), чтобы было на что сослаться, и по телефону проясняю только не особо принципиальные вопросы. Но после прояснения ситуации всё пошло как по маслу и, заполнив формуляры с приложением аккредитаций, необходимые подтверждения о подписании договоров я получил (прошу прощения за зашакаленый скан, лучше у меня не нашлось):
Стоило это в общей сложности 1 680 франков.
Остаётся последний шаг:
- Отправить запрос на внесение своих данных в реестр самозанятых врачей / организаций, работающих со страховыми компаниями и получить заветный номер - ZSR-Nummer (Zahlstellenregister-Nummer), который можно будет указывать на счёте за мед.услуги (для страховых компаний это является подтверждением, что владелец этого номера полностью со всех возможных сторон аккредитован и ему можно доверять).
Занимается этим организация под названием SASIS AG, и, слава Богу, всё заполняется онлайн на спец.сайте (после предварительной регистрации), туда же загружаются эл.копии документов. Процесс не слишком сложный (особенно учитывая что мы уже прошли) и занимает не слишком много времени (у меня было полчаса примерно). Через неделю пришёл ответ на электронную почту, что всё ок, номер присвоен, можешь работать!
На этом пока закончу. Про подготовительную часть к самостоятельной работе рассказал.
В следующей части расскажу о практических аспектах своей работы в качестве самозанятого врача, причинах зачем я вообще всё это начал, ну и о первых впечатлениях.
Если есть вопросы / дополнения / предложения - милости прошу: отвечу / дополню / учту.
Если увидели ошибку - дайте знать, исправлю пока не поздно.
Всем хорошей недели!






