Черепные травмы у неандертальцев и палеолитических сапиенсов встречаются с одинаковой частотой
Кости многих неандертальцев несут следы различных травм и болезней. По мнению большинства специалистов, это указывает на суровые условия жизни. В частности, большое число прижизненных травм черепа у неандертальцев обычно трактуется как свидетельство высокого уровня внутривидовой агрессии или рискованных способов охоты на крупных животных. Однако скрупулезный статистический анализ, проведенный германскими антропологами, не выявил достоверных различий между неандертальцами и верхнепалеолитическими сапиенсами по общей частоте встречаемости черепных травм. Разным оказалось лишь их возрастное распределение. У неандертальцев, умерших молодыми, черепные травмы встречаются чаще, чем у тех, кто дожил до 30 лет, тогда как у кроманьонцев прослеживается обратная тенденция. Возможно, это говорит о том, что молодые неандертальцы чаще получали травмы, чем молодые сапиенсы, или о том, что у травмированных в молодости неандертальцев было меньше шансов дожить до преклонных лет.
Рис. 1. Череп неандертальца Шанидар-1 несет следы нескольких прижизненных травм, самая серьезная из которых затронула наружный край левой глазницы (E. Trinkaus, M. R. Zimmerman, 1982. Trauma among the Shanidar Neandertals). Фото © Erik Trinkaus с сайта cnet.com
Считается, что жизнь у неандертальцев была крайне тяжелой и опасной. Это мнение основано на многочисленных патологиях и следах травм, обнаруженных на неандертальских костях (рис. 1). Высокий травматизм связывают либо с общей суровостью жизни кочевых охотников, либо с более конкретными причинами: частыми конфликтами, неумением сдерживать буйный нрав, примитивными и опасными методами охоты (считается, что неандертальцы не использовали метательного оружия и нередко сходились с крупными зверями врукопашную).
В основе этих гипотез лежит убежденность антропологов в том, что уровень травматизма у неандертальцев был значительно выше, чем у сапиенсов. Однако серьезных попыток обосновать это утверждение при помощи корректной статистики было не так уж много. При этом неандертальцев часто сравнивали не с палеолитическими популяциями сапиенсов, а с более поздними и даже современными (T. D. Berger, E. Trinkaus, 1995. Patterns of Trauma among the Neandertals). Кроме того, во многих исследованиях рассматривалось лишь численное соотношение травм разных частей тела (головы, шеи, туловища, конечностей), а нетравмированные индивиды при этом вообще не учитывались. Такой подход помогает понять особенности жизни древних людей, но мало что говорит об общем уровне травматизма.
Антропологи из Тюбингенского университета (Германия) попытались восполнить это упущение, составив по литературным данным полную сводку всей имеющейся информации по черепам и отдельным черепным костям неандертальцев и палеолитических сапиенсов. При этом учитывались все кости: как травмированные, так и неповрежденные. Исследователи сосредоточились на черепных травмах по двум причинам. Во-первых, травмы черепа обычно оставляют следы на всю жизнь, тогда как на костях посткраниального скелета следы повреждений могут сглаживаться со временем. Во-вторых, именно черепные травмы часто рассматриваются как главный аргумент в пользу агрессивности неандертальцев или рукопашных стычек с крупными зверями.
Рисунок 2 дает представление об объеме проанализированного материала. Учитывались черепные кости взрослых (умерших в возрасте не менее 12 лет) индивидов, живших от примерно 80 до 20 тысяч лет назад. Полный список учтенных образцов, всех замеченных у них черепных травм, а также литературных источников приведен в дополнительных материалах к обсуждаемой статье.
Рис. 2. Местонахождения неандертальцев (синие треугольники) и верхнепалеолитических сапиенсов (красные кружки), учтенные в обсуждаемой статье. Для каждого местонахождения в скобках указано число образцов (индивидов) и «скелетных элементов», то есть отдельных крупных черепных костей. Считается, что полный череп состоит из 14 «скелетных элементов». Изображение из обсуждаемой статьи в Nature
Расчеты проводились двумя способами: на уровне индивидов и на уровне отдельных «скелетных элементов» или черепных костей. Авторы условно поделили череп на 14 «скелетных элементов», соответствующих главным черепным костям: лобной, затылочной, левой теменной, правой теменной и т. д. Это разумно, потому что от одних индивидов до нас дошли целые или почти целые черепа, а от других — лишь фрагменты. Понятно, что отдельная затылочная кость без следов травм и целый нетравмированный череп несут разное количество информации о травматизме, и это необходимо учитывать.
В общей сложности получившийся массив данных включает 114 неандертальцев (из них с травмами черепа были у 9, или 7,9%) и 90 верхнепалеолитических сапиенсов (из них травмированных 12, или 13,3%); неандертальских «скелетных элементов» всего 295 (из них со следами травм 14, или 4,7%), кроманьонских — 541 (из них с травмами — 25, или 4,6%). Казалось бы, эти цифры говорят сами за себя: сразу видно, что у неандертальцев частота встречаемости черепных травм не выше, чем у сапиенсов. Но первое впечатление может быть обманчивым. Например, не исключено, что всё дело в худшей сохранности неандертальских костей. Ведь почти все они — более древние, чем кости кроманьонцев. Поэтому авторы обрушили на собранные данные всю мощь современных статистических методов.
Для каждого образца учитывались следующие параметры:
1) Наличие или отсутствие следов травмы (авторы не пытались классифицировать травмы по степени тяжести, ограничившись бинарной классификацией: травма есть или травмы нет);
2) Видовая принадлежность (неандерталец или сапиенс);
3) Сохранность (каждая кость была отнесена к одной из четырех групп по степени сохранности: сохранилось менее 25% кости, 25–50%, 50–75%, более 75%);
4) Возраст смерти: всех индивидов поделили на «молодых» (не доживших до 30 лет), «старых» и с неопределимым возрастом;
5) Пол (мужской, женский или неизвестный);
6) Географический регион.
Статистический анализ данных проводился при помощи обобщенных линейных смешанных моделей (см. Generalized linear mixed model). Всего было рассмотрено 8 разных моделей, учитывающих данные на уровне индивидов или скелетных элементов, включающих разные наборы параметров и либо учитывающих, либо не учитывающих образцы, информация по которым неполна. Это позволило оценить связь травматизма с разными факторами по отдельности и в различных комбинациях.
Достоверных различий по общей частоте встречаемости черепных травм у неандертальцев и сапиенсов обнаружить не удалось, несмотря на все ухищрения. Это главный результат исследования: вопреки распространенной точке зрения, общий уровень травматизма у двух видов палеолитических охотников-собирателей оказался практически одинаковым. Это ставит под сомнение идею о том, что жизнь у неандертальцев была более суровой и опасной, чем у пришедших им на смену верхнепалеолитических сапиенсов.
У обоих видов черепные травмы намного чаще встречаются у мужчин, чем у женщин. Это согласуется с имеющимися представлениями о поведенческих и психологических различиях между полами: предполагается, что мужчины больше времени посвящали опасным видам деятельности, таким как охота на крупных животных или драки с сородичами.
Также выявилась достоверная связь между сохранностью костей и частотой встречаемости травм: чем лучше сохранилась кость, тем больше шансов, что на ней обнаружатся следы травмы. На это не удается списать отсутствие различий по уровню травматизма между видами, но из этого следует, что при оценке травматизма обязательно нужно учитывать фактор сохранности.
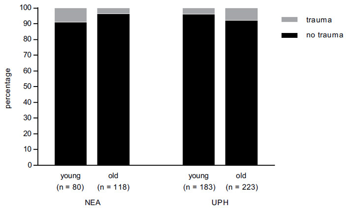
Единственное достоверное различие между неандертальцами и сапиенсами, которое авторам удалось обнаружить, связано с возрастным распределением черепных травм. Оказалось, что у неандертальцев, умерших молодыми (в возрасте от 12 до 30 лет), черепные травмы встречаются чаще, чем у переваливших за 30-летний рубеж. У сапиенсов прослеживается обратная тенденция (рис. 3). При интерпретации этого факта нужно учитывать, что, судя по имеющимся признакам заживления, большинство травм в изученной выборке не были непосредственной причиной смерти. Некоторые из них могли быть получены задолго до смерти: известно, что следы сколько-нибудь серьезных черепных травм обычно сохраняются на всю жизнь (и после того, как рана зажила, уже невозможно определить, когда она была получена). Поэтому в принципе можно ожидать, что следы травм будут постепенно накапливаться с возрастом. С этой точки зрения картина, наблюдаемая у сапиенсов, выглядит более естественной, чем то, что мы видим у неандертальцев. Обнаруженная закономерность может говорить о том, что неандертальцы чаще, чем сапиенсы, получали травмы в юности и реже — в зрелом возрасте. Или же уровень травматизма был сходным в обоих возрастах, однако травмированные в юности неандертальцы имели меньше шансов дожить до 30 лет по сравнению с травмированными молодыми сапиенсами. О причинах всего этого можно пока лишь гадать.
Рис. 3. Доля «скелетных элементов» со следами травм у «молодых» (young) и «старых» (old) неандертальцев (NEA) и верхнепалеолитических сапиенсов (UPH), без учета образцов неопределенного пола или возраста. Рисунок из обсуждаемой статьи в Nature
Данное исследование отличается от предыдущих рекордным объемом выборки и скрупулезностью статистического анализа. Но всё же, по-видимому, нельзя утверждать, что оно полностью перечеркивает все прежние рассуждения о суровой жизни неандертальцев. Во-первых, претензия авторов на полноту охвата имеющегося материала не вполне соответствует реальности. Например, в выборку почему-то не попали неандертальцы из испанской пещеры Эль-Сидрон (см.: Неандертальцы жили маленькими группами и ели друг друга, «Элементы», 13.01.2011), хотя там есть и нижние челюсти, и фрагменты нейрокраниумов (черепных коробок). Во-вторых, не учитывался характер травм и степень их тяжести. В-третьих, у неандертальцев (как, впрочем, и у сапиенсов), помимо черепных травм, описано множество других патологий, которые в данной работе не рассматривались. Есть и другие указания на то, что неандертальская жизнь была крайне тяжелой. Например, недавно появились новые данные о том, в каких нелегких условиях росли неандертальские дети (T. M. Smith et al., 2018. Wintertime stress, nursing, and lead exposure in Neanderthal children). Так что «миф» о суровой неандертальской жизни рано объявлять развенчанным.
Источник: Judith Beier, Nils Anthes, Joachim Wahl, Katerina Harvati. Similar cranial trauma prevalence among Neanderthals and Upper Palaeolithic modern humans // Nature. Published: 14 November 2018. DOI: 10.1038/s41586-018-0696-8.
См. также:
Л. Б. Вишняцкий, 2014. Вооруженное насилие в палеолите.
Александр Марков
http://elementy.ru/novosti_nauki/433365/Cherepnye_travmy_u_n...



Лига Палеонтологии
2.4K поста15.1K подписчиков
Правила сообщества
– Провокации в дискуссиях, излишнюю агрессивность, троллинг, расизм.
– Ничем не подкрепленные нелепые гипотезы, предположения, фальсификации.
– Креационизм, MLP-фэндом – им не место в научном сообществе.
– Оскорбления любой разновидности, Будьте вежливы!
– Поднимание тем политики – для неё есть отдельный раздел.
– Рекламирование чего-либо.
– Многократные нарушения критериев постинга, и игнорирование пометок для исправления.
– Активное отрицание эволюции как факта:
Вы можете признавать Синтетическую Теорию Эволюции или научную парадигму в целом, можете не признавать их, но сама эволюция есть как факт, доказанный экспериментально: опыты Шапошникова и эксперимент с E.Coli,
E.Coli и антибиотик, Методы борщевика, Карта эволюции.
Теория же описывает процесс и механизмы эволюции, и является высшей формой организации научного знания:
Почему СТЭ все ещё теория?
Критерии одобрения постов:
– Посты соответствуют тематике сообщества ⇑
– Посты не должны содержать ненаучную ересь и фальсифицированные факты (Например люди-великаны)
– Тег Копипаста, если статья не ваша, так же желательна ссылка на источник.
– Тег Юмор, если пост несет исключительно юмористическую тему.
– Видеоматериалы обязаны сопровождаться кратким описанием.
– Название постов не должно вводить читателей в заблуждение.