Скорость света для гуманитариев
Есть у меня несколько годных статей по популяризации занимтельных научных штуковин. Многие помнят, возможно, мой бложек и репосты на одном унылом ресурсе. И тут я, значит, вспомнил про них и думаю, добро пропадает. Попробую закинуть сюда, ну, вдруг кто не в курсе и вообще...
Назло всем специалистам и кандидатам, нарушая все до единой методологии и правила хорошего научного текста, мы пишем доступным языком об открытиях современной (и не очень) науки и прилагаем к этому случайные картинки из интернета.
Сегодня мы поговорим о скорости света, почему она постоянная, почему все "бегают" с этой скоростью и удивляются оной, и что вообще, черт побери, происходит.
Собственно говоря, скорость света начали пытаться измерить еще очень давно. Всякие там Кеплеры и прочие считали, что скорость света бесконечна, а Галилей, например, полагал, что скорость определить можно, но трудно, так как она очень большая. Умный был этот Галилей, короче.
И оказался прав. В 17 веке некто Рёмер неточно рассчитал скорость света, когда наблюдал затмения спутников Юпитера. Ну а в дальнейшем научно-технический прогресс окончательно все расставил по местам, и выяснилось, что скорость света равна приблизительно 300 000 километров в секунду.
Но что же такого в этом значении? Почему эта скорость так важна? Скорость моего лисапеда тоже можно подсчитать, но никто ж над ней не размышляет о вечности и структуре мироздания.
А подвох в том, что скорость света ВСЕГДА равна 300 000 километров в секунду. ВСЕГДА!!!
Исходя из собственного опыта путешествия на лисапедах, представим ситуацию: вы с другом едете на велосипедах: ваш друг чуть быстрее, а вы чуть медленнее. Допустим, со скоростями 20 и 15 км/час соответственно. И если вы, двигаясь со своей скоростью, решите измерить (как-нибудь) скорость друга, то вы выясните, что ваш друг двигается относительно вас со скоростью 5 км/час.
Это простые дошкольные правила сложения скоростей. Каждый интуитивно об этом знает. Если вы увеличите скорость до 20 км/час и нагоните друга, то относительно вас ваш друг будет иметь скорость равную нулю.
Это логично и следует из жизненного опыта. Скорость моторной лодки которая, движется по течению также складывается из собственной скорости лодки и скорости течения реки.
А теперь попробуем проделать тот же фокус со светом. Ваш друг внезапно аннигилировал и превратился в луч света. Вас это не удивило. Вы решили погнаться за ним и сильно для этого постарались. Вы разогнались до скорости довольно близкой к скорости света. И чисто ради прикола, из научного, так сказать, любопытства, решили тоже замерить скорость вашего бывшего друга. Разумеется, вы уверены, что получите решение равное скорости света за минусом вашей собственной скорости.
И вот тут вас ждет сюрприз. Расчетно-опытном путем вы выясните, что относительная скорость вашего лучевого приятеля по-прежнему 300 000 км/сек. С какой бы скоростью не двигались лично вы, независимо от направления: параллельно движению света, навстречу свету, перпендикулярно и т.д. – скорость света всегда будет равна 300 000 м/сек.
Впервые вот эту нестыковочку заметили в начале XX века пара ученых Майкельсон и Морли.
И вот до 1905 года никто не мог объяснить, почему скорость света не хочет быть относительной, пока не пришел Эйнштейн и не догадался, что происходит.
Скорость света, как оказалась, порадовала нас еще несколькими внезапными чудесами. Эйнштейн, ничтоже сумняшеся, поведал миру о других странностях высокоскоростных режимов.
Дело в том, что чем больше наша скорость, тем медленнее идут наши часы. Время замедляется при увеличении скорости. Если вы думаете, что это теоретические и математические шутки, не имеющие реального подтверждения, то вы застряли в Средневековье.
Увы, но реальные опыты были проведены еще в прошлом веке. Брали очень точную пару часов, показывающих одинаковое время. Один экземпляр часов брали на борт реактивного самолета, а вторые часы оставались на земле. Первые часы на огромной скорости пару раз прокатили вокруг планеты. А затем сверили время. Часы из самолета отставали.
И чем ближе кто-то двигается к скорости света, тем медленнее идут его часы (сам-то он этого не замечает и считает, что его часы идут правильно, но это уже парадоксы теории относительности, мы сейчас не о них рассказываем).
Таким образом, если бы кто-нибудь с часами разогнался до скорости света, то время для него бы остановилось. Как говорят физики: часы на фотоне не идут.
И если бы нам была возможность превысить скорость света, то математика убедительно протестует, что в таком случае время пойдет в обратную сторону. Это одна из причин невозможности сверхсветовых скоростей – нарушится причинно-следственная связь, знаете ли. Вы разогнались до скорости 400 000 км/с и оказались в прошлом….
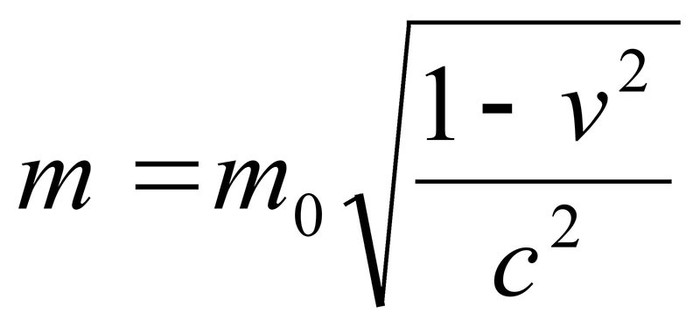
Но разогнаться до скорости света нам мешают более серьезные причины, чем замедление времени. Все, что имеет массу, не может лететь со скоростью света, увы. Как только мы начинаем ускоряться, наша масса увеличивается и, чем мы ближе к скорости света, тем наша масса больше. И тем больше требуется энергии, чтобы нас разгонять. При значениях очень близких к скорости света наша масса становится практически бесконечной и соответственно для нашего дальнейшего разгона нам требуется бесконечная энергия. В математике это выглядит как деление на ноль.
А почему же фотон летит со скоростью света? – спросит любознательный и смекалистый читатель. Потому что у него нет собственной массы (знатоки, молчите о разнице между массой покоя, инертной массе и прочих нюансах – мы упрощаем, а не загружаем).
Да-да, когда в этих ваших коллайдерах разгоняют электрон, то даже его малюсенькую массу нельзя пульнуть со скоростью света.
Не можем не процитировать какой-то учебник: "Если скорость частицы всего лишь на 90 км/с меньше скорости света, то ее масса увеличивается в 40 раз. Мощные ускорители для электронов способны разгонять эти частицы до скоростей, которые меньше скорости света лишь на 35—50 м/с. При этом масса электрона возрастает примерно в 2000 раз. Чтобы такой электрон удерживался на круговой орбите, на него со стороны магнитного поля должна действовать сила, в 2000 раз большая, чем можно было бы предполагать, не учитывая зависимости массы от скорости." Поразмыслите об этом, прежде чем строить планы по созданию машины времени.
Поэтому когда вы в очередной раз читаете, что кто-то открыл что-то, превышающее скорость света, и теперь продает на основе этой технологии торсионные препараты от несварения желудка, вспомните нашу статью.
Скорость света это удивительная физическая величина. Если, например, время умножить на скорость света (получив "метрические" значения), то получится та самая четвертая ось четырехмерного пространства, которым оперирует вся теория относительности: длина, ширина, высота, время. Это крайне зубодробительная теория, но выводы из нее шикарны и до сих пор поражают неокрепшие умы юных физиков.
NB: Все изображения взяты из гугла (поиск по картинкам) - авторство определяется там же.
Незаконное копирование текста преследуется, пресекается, ну, и сами знаете...
Если пост понравился, то притащу еще пару тройку про кванты и прочие няшненькие вещи, дорогие любители науки..Привет всем, кто меня узнал.











Наука | Научпоп
9.2K постов82.6K подписчиков
Правила сообщества
Основные условия публикации
- Посты должны иметь отношение к науке, актуальным открытиям или жизни научного сообщества и содержать ссылки на авторитетный источник.
- Посты должны по возможности избегать кликбейта и броских фраз, вводящих в заблуждение.
- Научные статьи должны сопровождаться описанием исследования, доступным на популярном уровне. Слишком профессиональный материал может быть отклонён.
- Видеоматериалы должны иметь описание.
- Названия должны отражать суть исследования.
- Если пост содержит материал, оригинал которого написан или снят на иностранном языке, русская версия должна содержать все основные положения.
- Посты-ответы также должны самостоятельно (без привязки к оригинальному посту) удовлетворять всем вышеперечисленным условиям.
Не принимаются к публикации
- Точные или урезанные копии журнальных и газетных статей. Посты о последних достижениях науки должны содержать ваш разъясняющий комментарий или представлять обзоры нескольких статей.
- Юмористические посты, представляющие также точные и урезанные копии из популярных источников, цитаты сборников. Научный юмор приветствуется, но должен публиковаться большими порциями, а не набивать рейтинг единичными цитатами огромного сборника.
- Посты с вопросами околонаучного, но базового уровня, просьбы о помощи в решении задач и проведении исследований отправляются в общую ленту. По возможности модерация сообщества даст свой ответ.
Наказывается баном
- Оскорбления, выраженные лично пользователю или категории пользователей.
- Попытки использовать сообщество для рекламы.
- Фальсификация фактов.
- Многократные попытки публикации материалов, не удовлетворяющих правилам.
- Троллинг, флейм.
- Нарушение правил сайта в целом.
Окончательное решение по соответствию поста или комментария правилам принимается модерацией сообщества. Просьбы о разбане и жалобы на модерацию принимает администратор сообщества. Жалобы на администратора принимает и общество Пикабу.