141

Решим задачку?)))

Имеет 2 способа решения =) Кто первый? Гугл в зачет не идет
Решим задачку?)))
Автор поста оценил этот комментарий
где то читал что противолежащие фигуры в квадрате , а чёрт объяснить не могу, смотрите сами
Иллюстрация к комментарию
раскрыть ветку (1)
Автор поста оценил этот комментарий
не знаю такого свойства случайной точки квадрата =))
показать ответы
Автор поста оценил этот комментарий
Эти штуки не равны :/
раскрыть ветку (1)
Автор поста оценил этот комментарий
медиана. свойства. листаем =)
Автор поста оценил этот комментарий
Хотя хрен его знает. Всё таки они равновеликие.
раскрыть ветку (1)
Автор поста оценил этот комментарий
равновеликие это Гитлер и Сталин =))
показать ответы
Автор поста оценил этот комментарий
А ведь он прав! В условии действительно не указано что это куб.
раскрыть ветку (1)
Автор поста оценил этот комментарий
да и на чертеже как бы видно это это НИХУЯ НЕ !КУБ!
Автор поста оценил этот комментарий
автор, я замечаю, что на ответы, типа "28" и "32" ты не реагируешь никак. значит ли это, что один из ответов - 28, а второй - 32?
или мне продолжать искать что-то другое?
раскрыть ветку (1)
Автор поста оценил этот комментарий
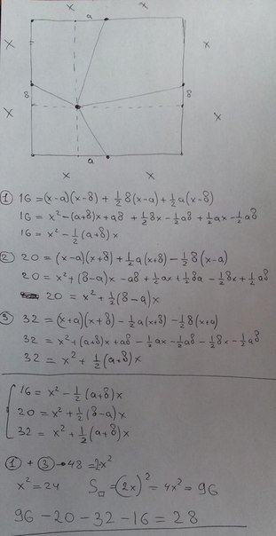
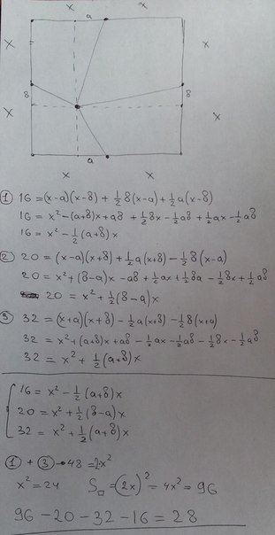
1) алгебраический через сторону
2) геометрический через площади
3) доказательство свойства рандомной точки внутри квадрата + Profit через a+c = b+d !!

Докажем что сумма площадей двух противолежащих четырехугольников AEOH и CGOF -- константа. Для этого проведем дополнительное построение: проведем EH и FG. Рассмотрим AEOH. Его площадь складывается из двух треугольников: AEH и EOH, причем площадь EOH зависит только от высоты OM. Рассуждая аналогично для четырехугольника CGOF делаем вывод что площадь FGO зависит только от ON. Так как основания треугольников EOH и FOG равны, сумма их площадей будет равна (MO+ON)FG/2 где MO+ON=MN=const, FG -- const следовательно сумма площадей противолежащих четырехугольников -- константа.

Shogd+Seofb=Seoha+Sfogs => Shogd=Seoha+Sfogs-Seofb => Shogd=32+16-20=28
Иллюстрация к комментарию
Иллюстрация к комментарию
Иллюстрация к комментарию
Автор поста оценил этот комментарий
это кармадрочерское самоудовлетворение, но никак не пикабу
раскрыть ветку (1)
Автор поста оценил этот комментарий
наверх посмотри =)
Автор поста оценил этот комментарий
гугл не в счёт говоришь? Ну-ну...
раскрыть ветку (1)
Автор поста оценил этот комментарий
да. 2 решения были найдены самостоятельно, еще о двух думал, но доказать не смог.
показать ответы
Автор поста оценил этот комментарий
Сразу как прочитала плюс влепила,спасибо за то-что заставил мозгами пошевелить)
раскрыть ветку (1)
Автор поста оценил этот комментарий
да незачто оО
Автор поста оценил этот комментарий
Тоже не знал, а оно есть. См доказательство ниже, отдельным комментом оформил.
раскрыть ветку (1)
Автор поста оценил этот комментарий
Благодарю =)
Автор поста оценил этот комментарий
Спасибо за такой пост!
раскрыть ветку (1)
Автор поста оценил этот комментарий
Хотим еще?) плюсуем))
показать ответы
Автор поста оценил этот комментарий
Да, мало людей пришли к ответу...
(неужели кто-то мог успокоиться, прежде чем получить 28?))
раскрыть ветку (1)
Автор поста оценил этот комментарий
полночи решали с товарищем =D как решили, вот вас надумал обрадовать
показать ответы
Автор поста оценил этот комментарий
если разбить весь квадрат на 4 квадрата, то можно предположить что площадь каждого такого квадрата будет 25 см2, следовательно площадь большого квадрата будет = 100. Можно сделать вывод, что площадь искомой фигуры будет равна 100 - (20 + 32 + 16) = 32 см2.
раскрыть ветку (1)
Автор поста оценил этот комментарий
не умно. Предположение не основано на фактах
Автор поста оценил этот комментарий
Я понял!
просто медиана делит треугольник на 2 треугольника равной площади.
Был не прав - высоты равны - на картинке не те высоты
раскрыть ветку (1)
Автор поста оценил этот комментарий
ага
Автор поста оценил этот комментарий
Все он правильно посчитал. Приглядись, периметры фигур, полученных при сложении равны, значит равны и их площади. Задача на соображалку.
раскрыть ветку (1)
Автор поста оценил этот комментарий
площадь от периметра слабовато зависит
Автор поста оценил этот комментарий
ты гугл-поисковик понял вообще о чём я тебе написал? В своём посте ты просишь людей не гуглить, а в моём сам гуглиш и спойлёришь. Где твоя логика?
раскрыть ветку (1)
Автор поста оценил этот комментарий
Это пикабу
показать ответы
Автор поста оценил этот комментарий
30
раскрыть ветку (1)
Автор поста оценил этот комментарий
нет
Автор поста оценил этот комментарий
36
раскрыть ветку (1)
Автор поста оценил этот комментарий
нет
Автор поста оценил этот комментарий
типо:
с+d=32;
c+b=20;
a+b=16;
a+d=?

Из первого выражаем с=32-d и подставляем во второе:
d=12+b.
Из третьего выражаем b, подставляем и получаем d=12+16-a.
Переносим а влево и получаем a+d=28.

Ваш КЭП
раскрыть ветку (1)
Автор поста оценил этот комментарий
кэп, ты малеха опоздал =))) но решение таки верное
Автор поста оценил этот комментарий
У меня встречный вопрос: какого пола тот анимешный человек на картинке?
раскрыть ветку (1)
Автор поста оценил этот комментарий
судя по теням от сисек это таки мужиг
показать ответы
Автор поста оценил этот комментарий
Ну хорошо! Спасибо, порадовали дедушку Мороза =D
А решили тем же способом, через равные площади?
И кстати какой второй? Я не догадалась...
раскрыть ветку (1)
Автор поста оценил этот комментарий
1) алгебраический через сторону
2) геометрический через площади
3) доказательство свойства рандомной точки внутри квадрата + Profit через a+c = b+d !!
Автор поста оценил этот комментарий
неверно =) и задача имеет 2 решения
раскрыть ветку (1)
Автор поста оценил этот комментарий
уже 3 нашли оО
Автор поста оценил этот комментарий
заканчиваю третий курс, все экзамены примерно так же угадываю. я решил что сумма противоположных равна, вычел из суммы известных 20 и получил правильный ответ. НЕОБЪЯСНИМО НО ФАКТ
раскрыть ветку (1)
Автор поста оценил этот комментарий
не объяснимо, но доказуемо, кстати говоря
Автор поста оценил этот комментарий
правильный ответ 20-потому что считать надо уметь
раскрыть ветку (1)
Автор поста оценил этот комментарий
ну... как раз поэтому и не 20
Автор поста оценил этот комментарий
правильный ответ 20
раскрыть ветку (1)
Автор поста оценил этот комментарий
ни разу не 20 =)))
Автор поста оценил этот комментарий
теперь мне стыдно вдвойне
раскрыть ветку (1)
Автор поста оценил этот комментарий
я 3 часа сам ебался но решение таки нашел)) из принципа
Автор поста оценил этот комментарий
чувак, это геометрия
раскрыть ветку (1)
Автор поста оценил этот комментарий
есть 2 решения. 1 через алгебру, другое через геометрию
показать ответы
Автор поста оценил этот комментарий
Похоже точного решения задача не имеет, но если принять длину каждого равного отрезка за х, а искомую площадь за А, то путем несложных вычислений можно получить два неравенства: х^2(меньше)26 и х^2(больше)8+A/2. Отсюда получаем возможный результат х = 5, А=32. Ответ 32
раскрыть ветку (1)
Автор поста оценил этот комментарий
неверно =) и задача имеет 2 решения
показать ответы
DELETED
Автор поста оценил этот комментарий
Просто посмотрел на величины 20 и 32 и решил, что неизвестное будет больше 16ти на 12 и всё -_-. Так ГИА по физике в прошлом году на 5 решил
раскрыть ветку (1)
Автор поста оценил этот комментарий
хуясе...
показать ответы
Автор поста оценил этот комментарий
вангую 28 просто на глаз
раскрыть ветку (1)
Автор поста оценил этот комментарий
ну ты шамаааан
Автор поста оценил этот комментарий
28? мне было лень решать:)
раскрыть ветку (1)
Автор поста оценил этот комментарий
таки верно.
Автор поста оценил этот комментарий
Что именно нужно посчитать? я фигею с китайских задачек:
1 Дано - непонятная фигня
2 Найти - непонятно что.
Автор ищи русские задачи на смекалку и логику ,а не Китайскую хрень (читай подделку)
для американских дебилов.
раскрыть ветку (1)
Автор поста оценил этот комментарий
мы с другом 3 часа ебались и решили =))
показать ответы
Автор поста оценил этот комментарий
42. И только скажите что неправильно
раскрыть ветку (1)
Автор поста оценил этот комментарий
не правильно =)))