slavia9

slavia9

Пикабушница
33К рейтинг 1066 подписчиков 44 подписки 35 постов 32 в горячем
Награды:
10 лет на Пикабуболее 1000 подписчиков
1542

О цвете стоп-крана в самолете

Пока я вам готовлю пост про перегрузки, давайте раз и навсегда поставим точку в вопросе о цвете стоп-крана в самолете. Итак, в следующий раз, когда вас спросят:

Почему стоп-кран в поезде красный, а в самолете голубой?

Вы отвечаете "ну почему голубой? тоже красный...", достаете из широких штанин вот эту фотографию, и удаляетесь в закат.

О цвете стоп-крана в самолете
344

Зачем самолету острая задняя кромка крыла, или о роли трения в создании подъемной силы

Если вам кто-то скажет, что самолет летит за счет сил трения, не спешите бить ему морду! Не все так однозначно.


В этом посте вы узнаете:

- почему задняя кромка крыла острая

- какую роль силы трения (воздуха о воздух) играют в создании подъемной силы. Не сопротивления (это-то понятно), а именно подъемной силы! Спойлер: уникальную.

- чем закончилась одна из величайших войн между практиками и теоретиками в истории физики

- где на этой картинке самолет прячет недостающие части вихря (если вы тут видите 2 незамкнутых вихря, не верьте своим глазам! Вихрь, а точнее его ось, всегда замкнут, всегда! вспомните колечко дыма.)

Начнем с войны. В 18 веке зародилась наука гидродинамика, причем одновременно среди практиков (инженеров) и теоретиков (ученых). Все бы ничего, но была одна проблема, которую коротко и емко описал один нобелевский лауреат:

Короче, теория не сходилась с практикой. Фигня, скажете вы, такое было много раз, просто ваша теория неправильная, и надо верить эксперименту, а теорию поменять. Однако теория была 100% правильной, потому что это был просто переписанный закон Ньютона!


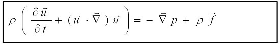
Обычный закон Ньютона, известный нам со школы, F = ma. Он позволяет описать движение любого тела, например, как падает мяч. То есть с твердыми телами все было понятно, а вот как движется вода/воздух? Так вот, был такой умный мужик, Леонард Эйлер, который доказал такую теорему, она называется уравнением Эйлера для движения жидкости:

В общем, Эйлер как-то сел на диван и подумал: мы знаем, как движется мяч, а вода чем хуже? Разделил мысленно воду на много мелких частичек, и записал для каждой F = ma. Получилось вот так, но не спеши пугаться, пикабушник!

Здесь на самом деле просто написано ma = F_давления + F_тяжести. Вот видите ро слева? это плотность (аналог массы m). Дальше вот эта страшная производная du/dt - это просто ускорение a. Итд. В общем, хоть выглядит и страшно, но на самом деле это просто второй закон Ньютона F = ma и ничего больше.

Но вернемся к войне: практики теоретикам кричали:

"Вы что, слепые? нате и посмотрите, как оно НА САМОМ ДЕЛЕ обтекает! Ваши доказательства не доказательства!"

А теоретики им в ответ:

"Вы что, тупые? Это же просто закон Ньютона! Если вы опровергли F=ma, идите пишите в нобелевский комитет!"

Ладно, комитета тогда еще не было, но суть ясна: ситуация была патовая. Отступать никто не собирался. Но теоретики были в проигрыше: как уже говорилось, гидродинамика была очень молодой наукой. Это сейчас у нас вот так:

а тогда гидродинамика была хуже астрологии: астрология хотя бы порождает непроверяемые результаты, а гидродинамика просто откровенно несла чушь! Просто чтобы вы поняли масштаб проблемы: теоретики были уверены, что у шара, плывущего в потоке жидкости, сопротивление равно нулю. Нет, они прекрасно знали, что на самом деле трение там есть, и еще какое. Но так вот решались их уравнения движения. Что делать? Они назвали это парадоксом Д'Аламбера, и потом с ним мучались еще лет двести. Ну а практики окончательно убедились, что все эти ваши гидродинамики - это полная фигня.

А разгадка одна. Давайте повнимательней посмотрим на Эйлера в тот момент, когда он писал свой закон:

Тут ты, пикабушник, наверно сделал как-то так:

"Ученые, серьезно? Вы выкинули силы трения, а потом 150 лет не могли понять, почему силы сопротивления оказались равны нулю??"


Но, пикабушник, не спеши их судить! Ученые оказались в уникальной ситуации! Весь предыдущий опыт из физики им подсказывал: когда трение КРАЙНЕ МАЛО по сравнению со всем остальным (а при обтекании водой/воздухом так и есть), трение всегда можно было выкинуть нафиг, не особо повлияв на эксперимент! Ну разве что слегка ухудшить точность вычислений.

Так вот, в гидродинамике, впервые в истории физики, все оказалось совсем не так! Оказалось, что даже малюсенькое трение меняет всю картину до неузнаваемости. Но скорее перейдем к крыльям! В конце 19 века люди стали строить первые аэропланы, и им надо было как-то считать подъемную силу и сопротивление.

У теоретиков получалась вот такая картина обтекания крыла.

Обратите внимание, как воздух резко заворачивает назад, обтекая острую заднюю кромку. А еще, когда они считали подъемную силу, она оказывалась равна нулю!

А практики в экспериментах наблюдали вот такое обтекание:

Здесь воздух острый угол не огибает, а как бы стекает в этом направлении. Но самое главное, несмотря на эротические фантазии теоретиков про нулевую подъемную силу, кое-кто уже летал!

Итак, почему так происходит, и кто же победил в войне между теоретиками и практиками? Ответ: победила дружба. Поясню: представьте, что вы вот так вот поставили мяч и спрашиваете: он упадет или нет?

И тут теоретики: "мы написали уравнения движения, и он останется стоять." Практики: "Мы сделали 100 экспериментов и в 99 случаях он падал". И начали было 150-летнюю войну, но тут пришёл ты весь в белом и на коне и такой говоришь:

"Не ссорьтесь! Вы оба правы. Он сначала будет стоять неподвижно, но его положение неустойчиво: малейший толчок, и он скатится вниз, в более выгодное энергетическое положение."

Все то же самое происходит с крылом. Когда самолет начинает движение по полосе, первоначально картина обтекания выглядит так, и подъемная сила равна нулю:

Однако, такое положение энергетически невыгодно для крыла. Воздух, поворачивая вокруг острой кромки, разгоняется до огромных скоростей. А потери из-за трения зависят не только от самой жидкости, но и от скорости! Получается, хоть вязкость у воздуха крайне мала, но из-за диких скоростей силы трения все равно гигантские.

Так вот, малейший повод, и крыло скачком переходит в более выгодное энергетическое состояние, где обтекание вот такое, и подъемная сила есть (ура-ура):

Кстати, а как именно оно переходит в новое состояние? Давайте посмотрим:

В момент, когда картинка обтекания меняется (и появляется подъемная сила), с крыла сходит т.н. начальный вихрь. Раз появилась подъемная сила, то с концов крыльев сходят боковые вихри, как вы помните из прошлого поста. Кстати, помните, мы в начале поста сказали, что вихрь должен быть обязательно замкнут? Мне тут всегда вспоминается великая цитата с баша:

как все в природе мудро устроено! Начальный вихрь сходит там же, где начинаются боковые вихри (а именно, в месте, где появляется подъемная сила), то есть по крайней мере в этой части вихрь замкнут!  Вот на картинке показана ось вихря.

Так, а как вихрь замыкается в передней части? А давайте посмотрим на название работы нашего великого аэродинамика Николай-Егорыча Жуковского:

"О присоединенных вихрях!" А куда это он присоединен? А вот:

К крылу он присоединен! Крутится себе вокруг крыла. Тут ты, пикабушник, должен сказать: боковые вихри видел. Начальный вихрь видел. Вихрь на крыле не видел!

Ну присмотрись, вон он:

Опять не видишь? С боковыми/начальными вихрями легче - окружающий воздух неподвижен, поэтому мы видим вихрь как вихрь. С крылом сложнее - оно движется относительно воздуха, поэтому мы видим сумму двух движений: вихря и движения вперед. Поэтому вихрь вокруг крыла не выглядит, как вихрь. Чтобы его увидеть, надо из того, что мы видим, вычесть последовательное движение, и тогда вот это (тут правда не профиль крыла, а пластинка, но суть та же)

при вычитании вот этого

превращается вот в это

(картинки кстати с замечательного сайта Джона Денкера "see how it flies")

Вот он, вихрь вокруг крыла. Это называется циркуляцией и позволяет рассчитывать подъемную силу. Посмотрите, как она сдвигает точку отрыва ровно в конец пластинки. Величина циркуляции может быть разной. Опыт показывает, что устанавливается ровно такая циркуляция, чтобы точка отрыва находилась на задней кромке. Кстати, подъемная сила пропорциональна цикруляции, т.е. нет циркуляции - нет подъемной силы. Помните мы в прошлом посте обсуждали, что боковые вихри существуют только вместе с подъемной силой? То же самое верно для вихря вокруг крыла. Ничего удивительного, ведь это один большой вихрь!

Что ж, пора подытожить.

Если не учитывать силы трения, то воздух может обтекать крыло по-разному (с разной величиной циркуляции/подъемной силы, в т.ч. нулевой). И с точки зрения физики все картины обтекания одинаково полезны. Но стоит добавить силы трения, как оказывается, что все равны, но некоторые равнее! А именно, обтекание с отрывом от задней острой кромки оказывается самым выгодным, потому что в остальных случаях воздуху приходится огибать острую кромку, разгоняться и терять кучу энергии на трение! Так что вот она, роль сил трения в создании подъемной силы: они гарантируют, что поток отрывается от задней кромки, а значит на крыле есть ненулевая циркуляция, а значит и ненулевая подъемная сила.

Ну а к вопросу "а почему боковые вихри незамкнуты", они конечно же замкнуты, и самолет получается тащит на себе вот такой вот огромный вихрь:

Показать полностью 22
895

Удивительное рядом: всегда ли нужна бОльшая мощность, чтобы двигаться быстрее?

Мы привыкли к тому, что чем больше мощность - тем быстрее двигаешься: на машине вдавил "тапку в пол" - поехал быстрее, не вдавил - так и едешь медленно. Катаешься на лыжах, поднажал - стал двигаться быстрее. На беговой дорожке поднажал... ну вы уловили суть. Чтобы перемещаться быстро, нужна большая мощность. А чтобы перемещаться медленно, достаточно маленькой. Это универсальный закон, и не важно кто ты - машина, мотоцикл, кот (да-да, и ты тоже!). Закон един для всех. Да?


Нет. Закон един для всех, кроме вот этих засранцев!

"Лечу я как-то в горизональном полете, на индикаторе скорости 80 км/ч, решил лететь побыстрее: вдавил педаль в пол и полетел со скоростью 90" - не сказал ни один летчик в мире.

Почему не сказал? Во-первых, потому что обороты двигателя в самолете регулируются не педалью, а РУДом, но оставим эту незначительную деталь и перейдем к главному: чтобы увеличить скорость с 80 до 90 км/ч, мощность двигателя нужно уменьшить, а не увеличить.


Здесь у вас должно возникнуть два вопроса.

Первый: что за??

Второй: как эта штука, именуемая винглетами, торчащая в поток и явно увеличивающая сопротивление, может экономить керосин? (4-6% экономии, между прочим!)

Здесь у вас дожен возникнуть третий вопрос: при чем здесь вообще второй вопрос? Ну обо всем по порядку.

Итак, вы едете на машине 80 км/ч. Какие силы действуют на машину? Одна сила тащит ее вперед; эта сила, в конечном итоге, -  результат работы двигателя. Другая тащит назад - это сопротивление, в основном сопротивление воздуха. Раз вы едете с постоянной скоростью, то они равны. Сопротивление воздуха, кстати, пропорционально квадрату скорости. То есть с увеличением скорости в 2 раза сопротивление увеличится в 4 раза. Вот картинка параболы, если кто забыл (или еще не узнал)

Теперь вы решили разогнаться до 90. Это в 1.125 раз больше, чем было, а значит, сопротивление выросло примерно в 1.27 раза (а требуемая мощность - вообще 1.42 раза, т.к. растет как куб!).


А что же не так с самолетами? Посмотрим на график требуемой мощности для самолетов. Чтобы разогнаться с 250 до 300 км/ч, нужна большая мощность, как мы и привыкли. Но чу! Что это у нас происходит на скоростях в районе 100-150км/ч? Нужно больше мощности, чтобы лететь медленнее!

Этот эффект вызван тем, что у летательных аппаратов, помимо лобового сопротивления, есть еще один тип сопротивления,  характерный только для них, - индуктивное сопротивление. Связано оно с существованием подъемной силы. В отличие от лобового сопротивления, которое можно минимизировать, "вылизав" формы самолета (гусары молчать!), индуктивное сопротивление убрать или минимизировать нельзя. Индуктивное сопротивление - это обратная сторона существования подъемной силы, и убрать его можно, лишь убрав подъемную силу, чего ты, мой дорогой пассажир, совсем не хочешь! Называется оно так потому, что индуцируется подъемной силой (хотя не совсем правильно говорить, что одно индуцирует другое - они просто либо вместе есть, либо вместе нет).

Посмотрим, откуда оно берется:

На этой картинке мы видим две вещи:

1. воздух за самолетом отклонился вниз. Ничего удивительного - воздух оказывает силу на самолет, действующую вверх, и по закону Ньютона самолет оказывает силу на воздух, действующую вниз. Собственно, только по этому и летит. (Так что наши с вами кровные рубли, уплаченные за билет, уходят на выталкивание тучек вниз)

2. Если бы у воздуха не было трения, этим бы все и ограничилось: часть воздуха бы рванула вниз, а часть осталась на месте. Но трение у воздуха есть, поэтому отбрасываемый вниз воздух увлекает за собой своего непотревоженного соседа сбоку, и образуются вихри, как на картинке. А что такое трение? Это потери энергии. А что такое создание вихря? Это потери энергии. Так что топливо в итоге уходит не только на полезную работу по отбрасыванию воздуха вниз, но и на бесполезную (создание вихрей).

Вихри эти кстати очень опасны - вихрь от большого самолета вполне может перевернуть маленький самолет. Это одна из причин, почему выдерживается определенный интервал между взлетающими самолетами - это дает время вихрю ослабеть, а если есть ветер, то вихрь просто сдует с полосы ветром.

Кстати, постоянный спутник таких картинок - вопрос "что же чувствуют пассажиры???". Нет, даже не так, а вот так:

Ну вы уже знаете ответ: такие вихри - неизменный спутник подъемной силы, а значит, пассажиры чувствуют, что не падают вниз.

Энергия вихря - это потерянная энергия. Но некоторые научились не тратить энергию вихря впустую, а использовать его для помощи ближнему: почему птицы летают клином? теперь вы знаете одну из возможных причин.

Но вернемся к нашему вопросу: как так случилось, что меньшая скорость требует большей мощности? Самолет может лететь в горизонтальном полете (т.е. не меняя высоту полета) по-разному: может лететь в почти горизонтальном положении, а может лететь, довольно сильно задрав нос вверх (сильно - это градусов 15-16).

В первом случае самолет будет лететь быстро. Он будет отбрасывать вниз большое количество воздуха, но слабенько. Во втором случае самолет будет лететь медленно. Он будет отбрасывать вниз небольшое количество воздуха, но сильно. В обоих случаях результирующая подъемная сила одинакова и равна весу самолета.

Но есть разница. Чем сильнее отбрасывается вниз воздух, тем быстрее он движется вниз, тем сильнее вихрь на границе с непотревоженным воздухом. И тем больше потери энергии в никуда, т.е. тем больше индуктивное сопротивление. Еще раз: чем медленее летишь - тем выше индуктивное сопротивление. А теперь время графиков:

Синим здесь показано обычное лобовое сопротивление. Как ему и полагается, оно растет с квадратом скорости. Фиолетовым - индуктивное сопротивление. Оно растет с уменьшением скорости, из-за того, что все больше и больше энергии приходится тратить на бесполезные вихри, а не на поддержание самолета в воздухе (на самом деле оно растет обратно пропорционально квадрату скорости). Суммарное сопротивление показано красным: с ростом скорости оно сначала уменьшается (потому что уменьшается индуктивное сопротивление), а потом снова увеличивается (потому что растет лобовое сопротивление).


Надеюсь, мы разобрались с первым вопросом, так что перейдем ко второму, про винглеты. Как мы помним, с концов крыла у нас срываются вихри, вот так:

Как мы помним, они нам увеличивают сопротивление, а потому нежелательны. Но убрать их нельзя. Что делать? Человек взял пример с уток и решил использовать вихрь себе на пользу, раз от него нельзя избавиться. Поставил на крылья винглеты.

Винглет - это маленькое крыло. На картинке выше видно, что из-за вихря воздух обтекает верхнюю часть законцовки крыла слева направо. Вот туда-то человек и воткнул еще одно крыло, чтобы использовать это движение воздуха.

Вот посмотрим на крыло. Желтым показано, как его обтекает воздух, а красная стрелка - это подъемная сила. Синяя стрелка и угол показывают угол между набегающим потоком и крылом.

Теперь посмотрим на винглет. Помним, что воздух бьет в него сбоку (т.е. в направлении от нас к нам) из-за вихря. Синяя стрелка, которая расширяется ("приближается к нам") к концу, должна символизировать этот факт. Если не символизирует, не ругайте, я художник мамкин. Воздух обтекает винглет и создает подъемную силу, которая направлена перперндикулярно потоку, т.е. в направлении к нам (красная стрелка). Обратите внимание: у этой силы есть компонента, направленная вперед по движению самолета. Пусть и небольшая. То есть мы только что из ниоткуда, а точнее из воздуха (в прямом смысле)  получили маленький, но халявный двигатель! Вот так вот работают винглеты.

Если мои художества оскорбляют чьи-то религиозные чувства, то вот еще картинка:

ну и напоследок:

Вместо заключения: вокруг нас много удивительных вещей, которые контр-интуитивны, и на первый взгляд невозможны. А среди пикабушников много людей с самыми разными знаниями. Так что призываю всех делиться известными вам колдунствами в постах!


конструктивная критика приветствуется, но не забываем про великую цитату от охотника из великого фильма:

Показать полностью 13 1
Отличная работа, все прочитано!