Горячее
Лучшее
Свежее
Подписки
Сообщества
Блоги
Эксперты
Войти
Забыли пароль?
или продолжите с
Создать аккаунт
Регистрируясь, я даю согласие на обработку данных и условия почтовых рассылок.
или
Восстановление пароля
Восстановление пароля
Получить код в Telegram
Войти с Яндекс ID Войти через VK ID
ПромокодыРаботаКурсыРекламаИгрыПополнение Steam
Пикабу Игры +1000 бесплатных онлайн игр Миллионер Стань богаче всех – это викторина по мотивам телешоу

Миллионер - Стань богаче всех

Головоломки, Логическая, Мобильная

Играть

Топ прошлой недели

  • AirinSolo AirinSolo 10 постов
  • Animalrescueed Animalrescueed 46 постов
  • mmaassyyaa21 mmaassyyaa21 3 поста
Посмотреть весь топ

Лучшие посты недели

Рассылка Пикабу: отправляем самые рейтинговые материалы за 7 дней 🔥

Нажимая «Подписаться», я даю согласие на обработку данных и условия почтовых рассылок.

Спасибо, что подписались!
Пожалуйста, проверьте почту 😊

Помощь Кодекс Пикабу Команда Пикабу Моб. приложение
Правила соцсети О рекомендациях О компании
Промокоды Биг Гик Промокоды Lamoda Промокоды МВидео Промокоды Яндекс Маркет Промокоды Пятерочка Промокоды Aroma Butik Промокоды Яндекс Путешествия Промокоды Яндекс Еда Постила Футбол сегодня
0 просмотренных постов скрыто
3
user10599046

Фрезерование по спирали Архимеда Fanuc 31i⁠⁠

3 месяца назад

Посты уже есть на пикабу, кто пробовал, знает минусы других авторских программ. Представляю свою программу на фрезерование плоскости по спирали:

Спираль Архимеда на ЧПУ

#R0 = 10.0 (начальный радиус)

#Rmax = 50.0

#dr = 0.05 (приращение радиуса на шаг)

#ang = 0.0

#dang = 5.0 (шаг угла в градусах)

G21 G90

G0 Z5

X[#R0] Y0

G1 Z-2.0 F200

WHILE[#R0 LE #Rmax] DO1

#X = [COS[#ang] * #R0]

#Y = [SIN[#ang] * #R0]

G1 X#X Y#Y F300

#ang = [#ang + #dang]

#R0 = [#R0 + #dr]

END 1

(замыкающий круг)

#ang0 = #ang

WHILE[#ang LE [#ang0 + 360]] DO2

#X = [COS[#ang] * #Rmax]

#Y = [SIN[#ang] * #Rmax]

G1 X#X Y#Y F300

#ang = [#ang + #dang]

END 2

G0 Z5

M30

--------

#1 = 10.0 (начальный радиус)

#2 = 50.0 (конечный радиус)

#3 = 0.05 (приращение радиуса на шаг)

#4 = 0.0 (угол)

#5 = 5.0 (шаг угла в градусах)

G21 G90

G0 Z5

X[#1] Y0

G1 Z-2.0 F200

WHILE[#1 LE #2] DO1

#6 = [COS[#4] * #1]

#7 = [SIN[#4] * #1]

G1 X#6 Y#7 F300

#4 = [#4 + #5]

#1 = [#1 + #3]

END 1

(замыкающий круг)

#8 = #4

WHILE[#4 LE [#8 + 360]] DO2

#6 = [COS[#4] * #2]

#7 = [SIN[#4] * #2]

G1 X#6 Y#7 F300

#4 = [#4 + #5]

END 2

G0 Z5

M30

Показать полностью
Fanuc Спираль Архимеда Текст
4
46
Matasin
Лига упоротых расчетов

Можно и подсчитать⁠⁠

2 года назад

Это были упоротые измерения, а хотелось бы упоротый расчёт. Ну, там, исходные данные - толщина бумаги, внешний и внутренний диаметр рулона. Методика, формулы, интегрирование, ряд Фибоначчи и так далее. То, что все в школе проходили, но уже забыли.

@Perfocrat

В целом...

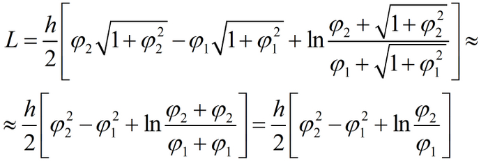
Итак, поперечное сечение рулона, как правило, описывается спиралью Архимеда. При этом ставится условие, что поперечное сечение втулки является окружностью, а зазоры между витками отсутствуют. Следует отметить, что спираль Архимеда не обладает постоянным шагом, если под этим понимать длину отрезка нормали к любой паре соседних витков в любой точке. Иными словами, если записать уравнение спирали Архимеда как:

то задействовав переход к декартовым координатам с последующим вычислением тангенса угла наклона касательной (производная), получим, что:

Разрешением этого обстоятельства было бы использование кривых Бертрана или в данном случае, учитывая фактор плоской задачи, эквидистантные кривые, но в первом приближении забьём на это обстоятельство и поработаем с Архимедом.

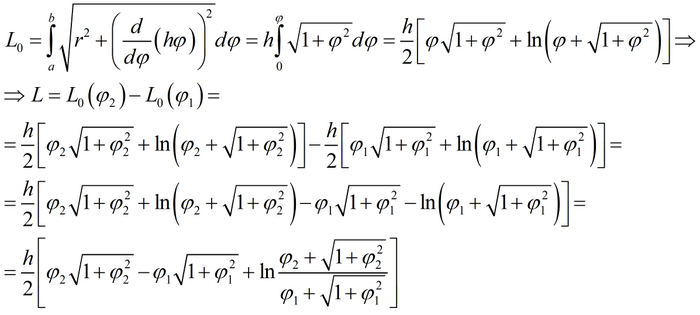
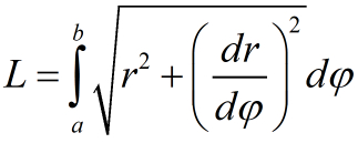
Длина полотна в рулоне (при соблюдении различных условий) или в данной задаче длина спирали Архимеда рассчитывается по известной формуле:

Как же неудобно оформлять, но ладно.

Обратим внимание, что в нашем варианте уравнения спирали имеется постоянный член, грубо говоря, отвечающий за наличие втулки. Упростим расчёты с аргументацией типа "она и так не является параллельной, что нам эти дельты по переменным в точке перехода ловить?", для чего установим следующий подход к вычислению длины:

  1. Задать радиус втулки,

  2. Задать внешний радиус рулона,

  3. Найти длину спирали Архимеда для обоих радиусов,

  4. Подсчитать разность.

В таком случае, получим следующую формулу:

Славная формула, но вдруг можно упростить? Согласно быстро найденным данным, примем толщину бумаги, то есть шаг спирали, равным 0.1 мм (шаг спирали равен 2*pi*h). Зададимся диаметром втулки, равным 35 мм, в таком случае для первого угла получим значение примерно 1100 рад. Это значение отличается от sqrt(1100^2+1) примерно на 4.55e-4, что составляет не более 0.000042% от 1100. Нетрудно догадаться, что для большего радиуса разность станет ещё меньше. В противовес можно заявить о толщине бумаги, но строить поверхность разностей в зависимости от толщины бумаги и радиуса... будем.

Есть начало обоснования в пользу упрощения выведенной ранее формулы. Искать ещё аргументацию не будем кто как хочет, хех. Упростим формулу длины:

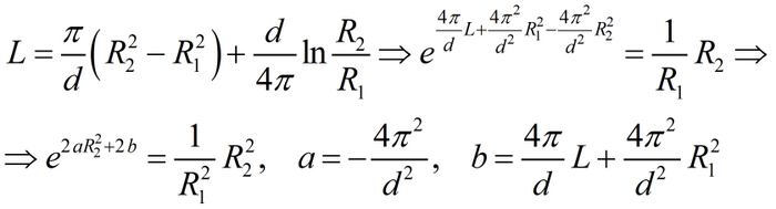
Перейдём к радиусам и введём переменную d, являющуюся толщиной бумаги. После упрощений получим:

Итак, по этой формуле можно оценить длину бумаги в рулоне. Отметим, что некоторые онлайн калькуляторы рулона используют эту формулу без второго слагаемого, что в ряде ситуаций обосновано. Например, для рулона офсетной бумаги с внешним диаметром 1000 мм, диаметром втулки 76 мм и толщиной 100 мкм, второе слагаемое равно примерно 0.02 мм.

Обратимся к первому слагаемому. Нетрудно заметить, что определение длины через него фактически базируется на представлении поперечного сечения рулона как множество концентрических окружностей и том факте, что с ростом количества витков форма внешнего витка спирали всё больше приближается к окружности (доказывается тривиально, достаточно рассмотреть отношение минимального и максимального расстояния от центра до витка).

Несложно вывести обратную формулу, то есть расчёт внешнего радиуса рулона в зависимости от длины. Для формулы только с первым слагаемым всё довольно просто, для двух слагаемых необходимо выполнить некоторые преобразования:

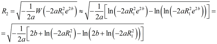
Полученное уравнение относительно R2 является трансцендентным, то есть оно не алгебраическое. И тут на сцену выкатывается тяжёлая артиллерия в виде W-функции Ламберта, позволяющей записать решение некоторого множества трансцендентных уравнений. Она определяется через функциональное уравнение следующим образом:

Используем её для нашего уравнения, для чего выполним преобразования:

Надо отметить, что если аргумент W-функции окажется большим, то имеет смысл задействовать асимптотику функции.

В сущности, всё зависит от коэффициента b. В результате получим следующее:

Вот это уже пойдёт. Пример. Воспользуемся онлайн калькулятором и зададим внутренний диаметр (втулка) 35 мм, внешний — 90 мм, а толщина равна 100 мкм. Сайт даёт длину, равную 53.99612373 м (следует отметить, что как раз один из найденных онлайн калькуляторов посчитал по упрощённой формуле без слагаемого с логарифмом). Применим обратную формулу и найдём модуль разности между исходным значением внешнего радиуса и рассчитанным. Получим достаточно малую величину 5.3189e-06 мм. Расчёты подтвердились.

Формулы красивые, выводил их (по расчёту радиуса от длины) лет десять назад. Всем раздать формулы.

Интеграл хороший. Канал не веду, так что в телеграм не приглашаю.

P. S. Всем качественных рулонов и да прибудет с вами сила математики.

P. P. S. Можно, конечно, построить куда более сложную модель и развлекаться там. Пс-сс, как насчёт задания толщины бумаги как стохастической функции и расчётов плоскопараллельной задачи из области сопромата?

Показать полностью 13
[моё] Спираль Архимеда Функция Математика Длиннопост Упоротые расчеты Видео YouTube
7
DzenEpta

Одна из мыслей⁠⁠

7 лет назад

У меня частенько бывают приступы "гениальности", я то в детстве придумал велосипед, когда естественно он уже был, то раздумывал над электромагнитными трассами для электромобилей, типо ЗСД (платная дорога), только фишка в том, что не надо останавливаться для заправки, заряд идёт от столбов стоящих вдоль трассы или другим альтернативным способом, потом в фильмах про будущее это видел и узнал, что такое уже в какой-то "развитой" стране практикуют.
Так вот, сижу я на работе и скучаю, скручиваю бумажки А4 по разному и скрутил одну фигуру:

Вот теперь думаю, а что, если с такой конструкции Архимед придумал свой винт?

Показать полностью 2
[моё] Спираль Архимеда В моей голове Длиннопост
3
1
DELETED

Ответ на комментарий в посте⁠⁠

10 лет назад
http://pikabu.ru/story/_3619659
Спираль Архимеда Гравюра Клод Меллан Единый единою чертою Видео
3
Посты не найдены
О нас
О Пикабу Контакты Реклама Сообщить об ошибке Сообщить о нарушении законодательства Отзывы и предложения Новости Пикабу Мобильное приложение RSS
Информация
Помощь Кодекс Пикабу Команда Пикабу Конфиденциальность Правила соцсети О рекомендациях О компании
Наши проекты
Блоги Работа Промокоды Игры Курсы
Партнёры
Промокоды Биг Гик Промокоды Lamoda Промокоды Мвидео Промокоды Яндекс Маркет Промокоды Пятерочка Промокоды Aroma Butik Промокоды Яндекс Путешествия Промокоды Яндекс Еда Постила Футбол сегодня
На информационном ресурсе Pikabu.ru применяются рекомендательные технологии