niketg

На Пикабу
19К рейтинг 1758 подписчиков 25 подписок 34 поста 28 в горячем
Награды:
10 лет на Пикабуболее 1000 подписчиков
357

Вопросы происхождения жизни

Снова всем привет)

Продолжаем серию познавательных постов о Земле и жизни на ней

Элементы жизни
Бескислородный мир
Великое кислородное событие
Великий симбиоз
Метеориты, скучный миллиард и лед

Прежде, чем возвращаться к хронологическому порядку, хочется еще ненадолго отвлечься и просто рассказать (насколько это у меня получится) о современных взглядах на проблему возникновения жизни. Уникально ли это явление для Вселенной? Или, быть может, жизнь самозарождается сплошь и рядом, где только это возможно?
Раньше эти вопросы (впрочем, кое-где и сейчас) даже и не ставились. Все, что человек видел вокруг себя, для него было статичным, созданным раз и навсегда по какому-то замысловатому плану. Эти впечатления породили массу догм, с которыми многие хорошо знакомы. Потребовались тысячи лет развития цивилизации, чтобы приоткрыть завесу непонятного в окружающем мире, похожем на запутанный клубок ниток, взаимосвязи между частями которого не объяснялись никак, кроме как догмами.

Поначалу, казалось, что самозарождение живого из неживого происходит повсеместно. Например, на днищах кораблей, стоящих в доках, самозарождаются моллюски; мыши самозарождаются в горшках с зерном, в мухи в протухшем мясе и т.д. Так думал и Аристотель. Лишь с конца 17 века, благодаря простым и наглядным опытам, возобладало другое мнение - что так легко и просто живое из неживого зародится не может.

Реди брал мясо и рыбу, раскладывал их в глиняные горшочки, половину горшков он закрывал тканью. Вскоре мясо и рыба в открытых сосудах, куда свободно залетали мухи, зачервивели. Реди показал невозможность самозарождения мух и червей. Его данные подтверждали мысль о том, что "жизнь может возникнуть только из предшествующей жизни".

Еще через сотню лет было показано, что и микроорганизмы (к тому времени давно открытые) вот так просто тоже из неживой материи не самозарождаются. А еще через примерно 70 лет теорию витализма (учение о наличии в живых организмах нематериальной сверхъестественной силы, управляющей жизненными явлениями — «жизненной силы») окончательно "добил" Луи Пастер своими опытами. 

Стало понятно, что жизнь из неживой материи самопроизвольно никак не возникает, и это понимание особенно остро поставило вопрос о происхождении жизни. Не было даже способа синтезировать органические вещества из неорганических, казалось между этими двумя типами веществ существует непреодолимая пропасть. Все это сыграло на руку разномастным креационистам, которые до сих пор пытаются, оперируя фактами из позапрошлого века, отстоять собственную парадигму.

Креационисты утверждают, что, поскольку никогда не существовало ни одной крокоутки (как переходной формы между родственными друг другу птицами и крокодилами) и других подобных переходных форм, то эволюции не существует.

Наука же на месте не стояла, но, чтобы подступиться к решению проблемы зарождения жизни, понадобилось еще более ста лет открытий и поисков. На сегодняшний день показано, что простые органические соединения могут синтезироваться из неорганических как на Земле, так и за ее пределами - в кометах, на других планетах, даже в протопланетном облаке. Также, по-видимому, найден изящный и правдоподобный способ синтеза в естественных условиях нуклеотидов из этой простой органики. Далее последняя ступенька перед стартом жизни - сборка из уже готовых нуклеотидов первых репликаторов, т.е. систем предположительно на основе РНК, способных к размножению, обладающих наследственной изменчивостью и подверженных естественному отбору. После этого стартует дарвиновская эволюция и начинается "магистральная линия" жизни: появляются белки, мембраны, ДНК... - в этом уже нет ничего необычного или чудесного, и динамика новых открытий в этой области только нарастает.
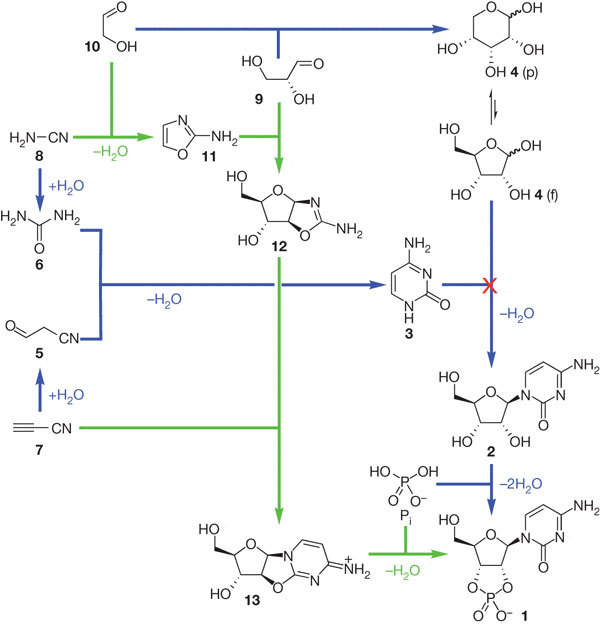
Синтез рибонуклеотида цитидина (Ц) из простейших органических веществ. Синими стрелками показан путь, которым химики пытались идти раньше.

Из всего этого получается очень интересный вывод. Открывая все более простые и высоковероятные способы абиогенного синтеза органики и его поэтапного развития, наука не столько добывает доказательства принципиальной возможности абиогенеза (в этой возможности уже давно не осталось сомнений), сколько повышает оценку встречи с инопланетной жизнью.

PS. Увлекающимся много всего интересного можно прочитать здесь
http://www.evolbiol.ru/
Показать полностью 7
400

Элементы жизни

Всем привет)

предыдущие посты:
Бескислородный мир
Великое кислородное событие
Великий симбиоз

Метеориты, скучный миллиард и лед

Читая комментарии к своим предыдущим постам, я решил, что все-таки придется отступить ненадолго от хронологической шкалы и рассказать о первых этапах зарождения жизни. Ведь раз читатели задают вопросы, горячо обсуждают эту тему, значит, им интересно. Итак, перенесемся назад в прошлое, в самое начало зарождения Земли и Солнечной системы.

Начнем рассказ с того, что определимся, какие элементы периодической таблицы Менделеева есть у нас в распоряжении для конструирования будущей жизни, а также какие могут подойти для этой цели, если мы не хотим мириться с углеводородным "шовинизмом".

Все химические элементы произошли так или иначе из недр звезд; мы с вами и все, что нас окружает, - это звездная пыль. После изначального нуклеосинтеза Большого взрыва во Вселенной были только водород, гелий и какое-то количество лития. С появлением первых звезд в их недрах за счет термоядерных реакций синтезируются четные элементы вплоть до железа и никеля. Ядра железа уже не могут сливаться друг с другом, чтобы образовать более тяжелые элементы, и термоядерный синтез в центре звезды прекращается. Дальше возможно несколько вариантов, в зависимости от характеристик звезды.

В самом центре звезды-сверхгиганта под чудовищным давлением электроны и протоны соединяются и образуется сверхплотное нейтронное вещество; оболочки звезды с разгону налетают на нейтронное ядро; из зоны контакта нейтронного вещества с обычным веществом звезды расходится мощная ударная волна и плотные потоки нейтронов; нейтроны быстро захватываются атомными ядрами - и так синтезируются нечетные элементы от фтора до марганца и большинство элементов тяжелее железа.

Энергия столкновения обрушившейся внешней оболочки с нейтронным ядром столь высока, что она с огромной скоростью отскакивает и разлетается во все стороны от ядра. Звезда буквально взрывается в ослепительной вспышке сверхновой звезды. За считанные секунды при вспышке сверхновой может выделиться в пространство больше энергии, чем выделяют за это же время все звезды галактики вместе взятые. Оставшееся ядро превращается в нейтронную звезду, вещество которой также может послужить в будущем "сырьем" для формирования тяжелых элементов.

Наша с вами жизнь построена буквально на самых распространенных во вселенной элементах: углероде, водороде, кислороде и азоте. Главнейшим из них является углерод. Он способен образовывать разнообразные цепочки и кольца из своих атомов, создавая тем самым огромное количество органических молекул (количество только известных органических соединений составляет почти 27 млн и продолжает расти), из-за этого углерод отлично подходит на роль главного кирпичика жизни. Если углерод - это снова нашей жизни, то жидкая вода - ее дом. Вода нужна в качестве универсального растворителя, в котором происходят основные процессы жизни.

Аналогичными качествами (способностью образовывать сложные молекулы) обладают еще несколько элементов, прежде всего это кремний. Кремний также довольно распространенный элемент. По своим свойствам кремний схож с углеродом, но имеет важные различия, из-за которых аналогичные углеродным соединения кремния менее устойчивы. В целом, роль кремния как главного структурообразующего элемента жизни дискуссионна, и будущим астробиологам, возможно, преподнесет некоторые сюрпризы. Но при всём разнообразии молекул, которые были обнаружены в межзвёздной среде, 84 основаны на углероде и лишь 8 — на кремнии. Более того, из этих 8 соединений 4 включают углерод. Примерное соотношение космического углерода к кремнию — 10 к 1. Все это даёт основание предполагать, что сложные молекулы на основе кремния редки, и во много раз уменьшает шанс формирования кремниевой жизни. Еще один довод против жизни на основе кремния - это сама наша планета. На Земле очень много кремния, однако, жизнь на планете зародилась на основе углерода.

На роль заменителя воды претендуют несколько веществ: аммиак, фтороводород, серная кислота.
Серная кислота (H2SO4) имеет некоторые преимущества перед водой, благодаря увеличенному в несколько раз интервалу существования в жидкой форме (серная кислота при нормальном давлении остается жидкой при температуре до 280 градусов Цельсия). В серной кислоте могли бы жить гипотетические серные (у которых атом кислорода замещен на атом серы) или кремниевые организмы. Так что, возможно, кровь, превращающаяся на воздухе в концентрированную серную кислоту, не такая уж нереальная вещь.

Аммиак (NH3) так же рассматривается как замена воды. Он по некоторым свойствам напоминает воду, но лед из аммиака (в отличие от водного льда) при замерзании тонет, а значит океаны из аммиака будут очень быстро промерзать до дна. При этом температуры существования жизни будут смещены в сторону более отрицательных по сравнению с "водной" жизнью (температура при которой аммиак находится в жидком состоянии от -78 до -34 градусов Цельсия).

Наконец, фтороводород (HF) тоже подошел бы на роль заменителя воды для жизни, если бы не одно "но", которое губит все возможные достоинства такого события, а именно: единственный устойчивый изотоп фтора - 19F - образуется в звездных ядерных реакциях в весьма малых количествах, и содержание фтора во Вселенной примерно в десять тысяч раз ниже, чем кислорода.

В заключении хочется отметить тот факт (раз уж мы говорим о происхождении жизни), что у эволюции нет цели. Она не стремится создать кремниевую жизнь назло углеводородной, чтобы доказать, что такое возможно. Принцип природного созидания совсем не похож на целенаправленное проектирование или творческий замысел, скорее это "самосборка чего получится из чего попало". Если есть возможность и много подходящих элементов, значит, именно из них, простых и доступных, скорее всего и будет построена жизнь.

Показать полностью 11
471

Метеориты, скучный миллиард и лед

Всем привет)

Продолжаем череду постов об истории Земли)

Бескислородный мир

Великое кислородное событие
Великий симбиоз

И снова возвращаемся в протерозойский эон, охватывающий период от 2500 до 541 млн лет назад. Протерозой - это очень большой отрезок времени, и на его протяжении ход истории Земли то замедлялся, то, наоборот, ускорялся. Так что рассказывать о об этом времени приходится в нескольких постах.

Появление эукариот и окончание гуронского оледенения (примерно 2.1 млрд лет назад) были отнюдь не скучными. Талые воды ледников размывали незащищенную поверхность континентов и несли в мировой океан растворенные минеральные вещества и некоторые токсичные микроэлементы, губительные для многих живых организмов. Вся эта химия накопилась благодаря вулканической деятельности и отравляла большие участки океана. С этим явлением связывают уменьшение концентрации кислорода атмосфере, ведь часть фотосинтезирующих организмов погибла.

Атмосфера тоже была не очень-то гостеприимной. Озонового слоя в современном виде, видимо, еще не было. А следовательно, такие сильные окислители как озон или перекись водорода могли образовываться в приповерхностном слое воздуха и проникать в океан, отчего микроорганизмам жилось несладко. Несмотря на небольшую общую концентрацию кислорода в атмосфере, бороться с токсичным действием его активных форм было необходимо.

В начале протерозоя на Землю все еще изредка падали огромные метеориты. Следы от этих падений заметны из космоса и поныне. Один из таких метеоритов (почти в два раза больше, чем метеорит, упавший на динозавров в конце мелового периода) 2,023 млрд лет назад оставил кратер примерно в 300 км в диаметре и явился причиной образования астроблемы Вредерфорт на территории современной Южной Африки. Можно только гадать какие катаклизмы на планете вызвало это падение.

Примерно в это же время (от ~ 2 до ~ 1.8 млрд лет назад) на территории, которая сейчас находится в районе месторождения Окло в Габоне, возникло уникальное природное явление - естественный ядерный реактор в земной коре. Реактор образовался в результате затопления пористых, богатых ураном пород грунтовыми водами, которые выступили в качестве замедлителей нейтронов. Тепло, выделявшееся в результате реакции, вызывало кипение и испарение воды, что замедляло или останавливало цепную реакцию. После того, как порода охлаждалась и распадались короткоживущие элементы, вода конденсировалась, и реакция возобновлялась. Этот циклический процесс продолжался несколько сотен тысяч лет, а температура в реакторе поднималась до нескольких сотен градусов Цельсия.

Непосредственно "скучным" миллиардом, не без доли иронии, ученые называют промежуток времени между примерно 1800 и 800 млн лет назад, когда вроде бы никаких значительных изменений на планете не происходило. Это был период стабильности, подтвердивший одну эволюционную закономерность. Она гласит примерно следующее: если не меняется окружающая среда, то и организмы, живущие в ней, не спешат меняться.
Несмотря на дрейф континентов, образование и раскол материков, основная масса суши находилась в экваториальной области. Покрытых льдом континентов на полюсах не было, а значит уровень океана был высоким и обеспечивал существование обильных мелководных эпиконтинентальных морей - места основного буйства жизни. Основными его следами, встречающимися в ископаемой летописи, являются окаменелые оболочки микроорганизмов, называемые акритархами.

Некоторые акритархи удается на первый взгляд довольно точно идентифицировать с современными микроорганизмами. Появляются возможные первые редкие свидетельства многоклеточной жизни. Но есть и более объективные закономерности, благодаря которым можно судить, что ко времени примерно 1000-850 млн лет назад, структура планктонных сообществ изменилась и появилось множество одноклеточных эукариотических организмов. Прежде всего, бурно развился фитопланктон. А раз появилось очень много одноклеточных водорослей, то со временем нашлись какие-то, тоже эукариотические, организмы, готовые использовать этот ресурс в качестве пищи. Это были первые возможные хищники в истории Земли. Вследствие этого, одноклеточные водоросли обзавелись шипами и... эволюционная спирать начала раскручиваться все быстрее и быстрее. 
Результатом эволюции одноклеточных эукариот стало бурное развитие продуктивности планктонных сообществ, главным образом, фотосинтезирующих организмов, которые активно изымали углекислый газ из атмосферы. Возник обратный парниковый эффект, усугублявшийся химическим выветриванием. Уровень кислорода в атмосфере повысился, а температура катастрофически упала. 

Земля практически полностью оказалась скована ледяным панцирем. Биогенный круговорот углерода прекратился, почти вся жизнь на планете погибла. Произошла серия самых сильных оледенений за всю историю Земли, и это могло бы привести к полной ее стерилизации, не будь на нашей планете вулканизма.

продолжение следует...

Показать полностью 9
432

Великий симбиоз

Всем привет и с праздником)

Продолжаем наше путешествие в прошлое. Сегодня будет чуть больше биологии и терминологии, чем обычно :) предыдущие тематические посты:

Бескислородный мир

Великое кислородное событие

Ранее я рассказал об архейском эоне и начале протерозойского - удивительном времени в истории земли, но практически ничего не говорил о первых земных обитателях, откуда они взялись, как жили и как изменялись; о том, какова их роль в жизни нашей планеты, я упомянул лишь вскользь, а без всего этого невозможно будет говорить о следующих этапах истории Земли, так как наша планета и жизнь на ней представляют собой нечто единое, взаимосвязанное.

Я пока пропущу события абиогенеза, теорию рнк-мира, появление первой клетки. Каждое из них нуждается в собственном ретроспективном рассказе. А сейчас у нас на календаре протерозой (около 2.1 млрд лет назад), подходит к концу первое крупное в истории земли оледенение - Гуронское, в атмосфере в свободном доступе появился кислород. На планете главенствуют прокариотические цианобактерии.

Если мы представим многообразие жизни на Земле в виде филогенетического дерева - дерева жизни, - то окажется, что все живые организмы очень рано расходятся на две большие ветви: ветвь бактерий и ветвь, которая содержит такие прокариотические (безъядерные) микроорганизмы, как археи, и она же содержит в себе организмы с ядром (эукариоты). К последним относимся и мы.

Происхождение эукариот - это важнейшие событие в истории жизни на Земле, которое по значимости может уступать лишь непосредственно самому зарождению жизни. Эукариоты возникли, вероятнее всего, непосредственно после Великого кислородного события в результате симбиогенеза нескольких прокариотических организмов. Доказано, что митохондрии появились в результате симбиоза с альфапротеобактериями, а пластиды - это симбиотические циаонбактерии.

По-видимому, приобретение митохондрий (Митохондрии - это особые клеточные органеллы, своего рода, электростанции клетки. Они запасают энергию, синтезируя АТФ, и в них проходит дыхание - окисление органики кислородом с выделением углекислого газа) стало ключевым событием на пути становления эукариот. Все эукариоты аэробны и имеют или ранее имели митохондрии. Первоначально, в условиях низкой концентрации кислорода в атмосфере, основной функцией такого симбионта была защита (в свою очередь, возможность такой защиты возникла, видимо, на основе фотосинтезирующего комплекса у предка митохондрий) от токсичного кислорода, и только намного позже, когда концентрация кислорода в атмосфере увеличилась, митохондрии стали энергетическими станциями клетки.

Интересно, что при сильных травмах, если повреждается мембрана митохондрии, и ее ДНК, имеющая бактериальную природу, оказывается в организме, то иммунная система воспринимает ее как чужеродную. Это может вызвать симптомы сильного воспаления даже при отсутствии инфекции.

Предок будущего ядра и цитоплазмы эукариот вызывает не меньший интерес, чем предки митохондрий. Основываясь на сравнительном исследовании семейств белков, можно предположить, что такой микроорганизм имел архейную природу. Эта догадка получила подтверждение в последнее время, когда из проб дна атлантического океана был выделен геном группы уникальных микроорганизмов, названных локиархеями, занимающих промежуточное положение между археями и эукариотами. Таким образом, эукариоты имеют архейную "сердцевину" и бактериальную "периферию".

Но это еще не все изменения, которые произошли с нашим химерным (имеющим разнородное происхождение) организмом. "Проглотив" будущую митохондрию, клетка обрела два набора разных генов, что потребовало усложнения регуляции их работы. Возможно, что уже на тот момент у предков эукариот было некое подобие ядра. Еще до инкорпорации митохондрии с ее геномом, который частично был перенесен в ядро, предок эукариот "нахватал" массу генетических паразитов - вирусов (возможно даже появление ядра связано с гигантскими симбиотическими вирусами) и мобильных генетических элементов (так появились многочисленные интроны - не кодирующие участки ДНК), которые, как ни странно, тоже пошли во благо. Часть из них стала использоваться для регуляторных целей.

Следует также отметить, что у прокариот геном достаточно экономный. Они не могут позволить себе очень большую, длинную молекулу ДНК, так как чем больше по объему нуклеотидов ДНК, тем больше вероятность возникновения мутаций, и со временем груз вредных мутаций привел бы к безвозвратной утрате генетической информации. У предка эукариот, с его повышенной склонностью к инкорпорированию чужих генов, по-видимому, уже должны были иметься некоторые средства защиты генома от всяческой генетической заразы (а в ходе эволюции развились и новые): это и эффективная система сплайсинга (вырезания интронов из "считанных" с ДНК молекул), и возникшее клеточное ядро, и переход от кольцевой хромосомы к системе линейных хромосом (вероятно, за возможность иметь линейную хромосому эукариоты расплачиваются старением), и, наконец, половое размножение.

Появление сложно устроенной эукариотической клетки стало итогом комплексной эволюции прокариотных сообществ, их долгой интеграции. Оно открыло принципиально новые возможности для дальнейшей эволюции жизни на планете. Сложная регуляция работы генов позволила при одном и том же геноме клетки иметь разнообразное строение, морфологию и функции, что в свою очередь позволило построить многоклеточные организмы с разными типами клеток и тканей, недостижимые для прокариот.

Показать полностью 9
1332

Великое кислородное событие

Снова всем привет)

Продолжая тематику предыдущего поста Бескислородный мир, я, насколько у меня получится, попытаюсь рассказать о некоторых дальнейших интересных вехах в истории Земли.

Сегодня мы перенесемся в начало протерозойского эона, который продлился почти 2(!) млрд лет(с около 2.5 млрд лет назад до 541 млн лет назад). Интересно, что в протерозое один год равнялся примерно 450 дням, а один день длился около 20 часов, - еще одна проблема для путешественников во времени)))

Прошлый рассказ закончился на том, что к концу архейского эона(2.5 млрд лет назад) мелководья мирового океана уже кишели микробной жизнью, немаловажным представителем которой были главные в истории Земли терроформирователи - цианобактерии. Но сама планета была далека от идеальных для человека условий.

В архейском эоне площадь суши неуклонно росла и уже в конце архея была куда более значительной, чем прежде. Океанская вода, попадая в недра планеты, способствовала формированию относительно легких гранитов, лежащих подобно легкой пенке на поверхности земной коры, а более тяжелое базальтовое основание погружалось вглубь. С этим связано завершение стратификации недр планеты, когда более тяжелые элементы оказываются глубже более легких. В это же время формируется (в основном из гранитов) континентальная земная кора и стартует современная тектоника плит.

Благодаря формированию новой континентальной коры, вулканизм перешел от преимущественно подводного к преимущественно наземному. Изменился состав поступающих в атмосферу вулканических газов, и в результате сложных геохимических процессов растворенное в воде недоокисленное железо стало все быстрее осаждаться.

Эта цепь явлений имела важнейшее значение для будущего планеты и послужила триггером для так называемого "Великого кислородного события", предпосылки для которого сложились еще на заре архея, когда возникли предки цианобактерий. Великим кислородным событием называют момент в истории Земли, начавшийся в Протерозое примерно 2.45 млрд лет назад, когда уровень кислорода вырос почти с 0% до примерно 1% от нынешнего.

С осаждением железа связаны так называемые полосчатые железные руды или джеспилиты - основной современный источник добычи железа на планете. Они состоят из чередующихся осадочных слоев, бедных и богатых оксидами железа. Такое чередование связывают с сезонностью или с цикличной деятельностью микробов, сначала стремительно развивающихся и активно продуцирующих кислород, благодаря чему получается богатый железом осадок; потом - отравившихся продуктами своей жизнедеятельности и погибших, вследствие чего образуется слой, бедный железом. Примерное количество кислорода, пойманного таким образом в джеспилитовую ловушку, более чем в двадцать раз больше содержащегося сейчас в атмосфере.

Вывод растворенного железа из океанов стимулировал ускоренное накопление кислорода сначала в толще воды, а затем и в атмосфере. Из-за накопления кислорода метан (в то время основной парниковый газ) почти перестает поступать в атмосферу, возникает обратный парниковый эффект. Вероятно, это стало одной из причин первого крупного оледенения в истории Земли - Гуронского.

Гуронское оледенение началось примерно 2,4 млрд лет назад и продлилось около 300 млн лет (огромный промежуток времени). Оно, вместе с изменившимся составом атмосферы, спровоцировало замор большого числа прежних микробных сообществ.

В результате, на сцену вышли те микроорганизмы, которые смогли лучше прочих приспособиться новому сильному яду - кислороду.

продолжение следует...
Показать полностью 9
1107

Бескислородный мир

Всем снова привет)

В этот раз захотелось с вами поделиться некоторыми соображениями о том, как выглядела Земля в Архее. То есть, до того, как наша планета вдохнула полной грудью кислород. Идея этого поста навеяна публикацией http://pikabu.ru/story/kislorodnaya_katastrofa_i_zemlyasnezh...,  за что спасибо ее автору. Заранее прошу извинения у тех, кому весь текст покажется школьным или дилетантским.

Наша планета существует примерно 4.6 млрд лет, из них около 1.5 млрд лет охватывает Архейский эон(от 4 до 2.5 млрд лет назад). Это по-настоящему огромное количество времени, когда наша планета была совсем не похожа на тот голубой шарик, который впервые со стороны увидел Гагарин 55 лет назад. Для сравнения длительность существования всех привычных семейств живых организмов всего чуть более 600 млн лет.

Архей, эта "Юность" планеты Земля, для нас выглядит туманно, как в прямом, так и переносном смысле. Многие следы той бурной молодости сейчас стерты активностью недр планеты, климатом и биосферой. Зато мы легко можем полюбоваться на Луну, испещренную множеством ударных кратеров. Возраст лунных кратеров датируется примерно от 4.1 до 3.8 млрд лет назад. Это время так называемой Поздней тяжелой бомбардировки. И ведь если Луне так досталось, то и Земля должна была изрядно пострадать от падения крупных космических тел. Примерно с такого апокалипсического пейзажа начался Архей.

Поздняя тяжелая бомбардировка закончилась примерно 3.8 млрд лет назад. Но некоторые данные указывают на то, что даже в это время жизнь на Земле уже могла быть. В раннем архее атмосфера и гидросфера, по-видимому, представляли смешанную парогазовую массу, которая мощным и плотным слоем окутывала всю планету. Проницаемость её для солнечных лучей была очень слабая, поэтому на поверхности Земли царил мрак. Парогазовая оболочка состояла из паров воды, углекислого газа, азота, метана, аммиака, соединений серы и некоторого количества кислых дымов; ей присуща была высокая химическая активность. После бомбардировки планета продолжила остывать и постепенно почти полностью окунулась в океаны. А поскольку земная кора в то время повсеместно состояла из базальтовых пород, богатых магнием (а заодно, как правило, и железом), то цвет архейского океана был зеленым из-за огромного количества растворенного в нем двухвалентного железа. 

Бесспорные доказательства существования жизни относятся к возрасту около 3.5 млрд лет назад. Вообще, скорость, с которой жизнь появляется на Земле, заставляет предположить, что абиогенное зарождение жизни - это не из ряда вон выходящие событие, случающееся один раз на сотни миллиардов мультивселенных, а какое-то банально естественное явление.

Архейский океан был мелким по сравнению с современным, а воды его представляли крепкий и очень кислый солевой раствор.  В атмосфере Земли кислород не накапливался, а если уже и производился предками цианобактерий, то весь шел на окисление растворенного в океане железа. Это был мир прокариотных сообществ.

Знакомьтесь! Одни из первых обитателей океана - сообщества различных микроорганизмов (прокариот) и созданные ими строматолиты (слоистые минеральные образования). Это основная форма жизни на планете Земля на протяжении - только вдумайтесь - нескольких миллиардов лет! Так что, если когда люди найдут внеземную жизнь на других экзопланетах, скорее всего она будет выглядеть примерно так.

Интересны такие прокариотические сообщества еще и тем, что по уровню своей интегрированности они приближаются вплотную к настоящим многоклеточным организмам.

Вот такой необычной предстала бы наша планета перед гипотетическими путешественниками во времени: огромный, почти безбрежный океан зеленой воды, мизерный клочок пустой суши, даже не намекающий на сегодняшние огромные континенты, желтовато-оранжевое облачное небо ядовитой атмосферы, солнечная радиация, дожди из серной кислоты и прочие радости. Так что, если кто-то изобретет машину времени и решит попутешествовать в прошлое, позаботьтесь о мерах предосторожности))) 

Все эти экстремальные природные явления не помешали(а скорее стали причиной) развитию жизни на земле и как бы подготавливали планету к дальнейшим этапам эволюции.

Показать полностью 8
Отличная работа, все прочитано!